SL Paper 3
New drugs undergo thorough clinical trials before they are approved.
Outline the difference between the therapeutic index in animal studies and the therapeutic index in humans.
State the method of drug administration that gives the maximum bioavailability.
Markscheme
in animal studies \(\frac{{{\text{LD50}}}}{{{\text{ED50}}}}\) AND in humans \(\frac{{{\text{TD50}}}}{{{\text{ED50}}}}\)
OR
in animal studies lethal dose/LD50 AND in humans toxic dose/TD50
intravenous/IV «injection»
OR
injection into the bloodstream
Examiners report
Antiviral drugs are designed to take different approaches to fighting viruses.
Outline how oseltamivir (Tamiflu®) works.
Oseltamivir was commercially produced from shikimic acid, a precursor which is a metabolite in micro-organisms and plants.
Outline how green chemistry was used to develop the precursor for oseltamivir in order to overcome a shortage of the drug during the flu season.
Suggest why the administration of antibiotics to humans and animals can affect the environment.
Markscheme
«drug» blocks/inhibits «viral» enzyme/neuraminidase/NA «activity»
prevents virus from leaving/escaping host cells «thus cannot infect other cells»
[2 marks]
ALTERNATIVE 1:
«using» genetically modified/GM E. Coli/bacteria/microorganisms
E. Coli/bacteria biosynthesis
OR
E. Coli/bacteria «overfed by glucose» undergo fermentation
OR
cells of the bacteria «are broken down to» form precursor/shikimic acid
ALTERNATIVE 2:
use readily available cyclic ester/lactone
forms «the correct stereoisomer of oseltamivir» in a shorter number of chemical steps
Do not accept “planting more Chinese star anise” or “other plant sources of shikimic acid”.
[2 marks]
«can develop antibiotic» resistance in bacteria/microorganisms
OR
changes in microbial/bacterial population
Accept secondary effects, such as reduced biodiversity of aquatic/soil ecosystems, denitrification of soil (due to decline in nitrogen-fixing bacteria). No mark for just stating “water contamination”.
No mark for just stating “failure of aquatic/marine environment”.
[1 mark]
Examiners report
Excess stomach acid leads to medical conditions that affect many people worldwide. These conditions can be treated with several types of medical drugs.
Ranitidine (Zantac) is a drug that inhibits stomach acid production. Outline why the development of this drug was based on a detailed knowledge of the structure of histamine, shown below.
Two other drugs, omeprazole (Prilosec) and esomeprazole (Nexium), directly prevent the release of acid into the stomach. Identify the site of action in the body.
A different approach to treating excess stomach acid is to neutralize it with antacids. Formulate an equation that shows the action of an antacid that can neutralize three moles of hydrogen ions, H+, per mole of antacid.
Markscheme
«ranitidine» blocks/inhibits histamine binding to «H2» receptor
OR
ranitidine binds to same «H2» receptors «as histamine»
OR
competes with histamine for binding
proton pump
OR
H+ /K+ ATPase enzyme
Accept “«secretary surface of» parietal cells”.
Do not accept “stomach/stomach wall”.
Al(OH)3(s) + 3H+ (aq) → Al3+ (aq) + 3H2O (l)
OR
Al(OH)3(s) + 3HCl (aq) → AlCl3 (aq) + 3H2O (l)
Examiners report
Magnesium hydroxide is the active ingredient in a common antacid.
Formulate the equation for the neutralization of stomach acid with magnesium hydroxide.
Determine the mass of HCl, in g, that can be neutralized by the standard adult dose of 1.00g magnesium hydroxide.
Compare and contrast the use of omeprazole (Prilosec) and magnesium hydroxide.
Markscheme
Mg (OH)2(s) + 2HCl (aq) → 2H2O (l) + MgCl2 (aq)
OR
Mg (OH)2 (s) + 2H+ (aq) → Mg2+ (aq) + 2H2O (l)
\(\frac{{1.00}}{{58.33}}\)=0.0171«molMg(OH)2»
«0.0171×2×36.46=»1.25«g»
Award [2] for 1.25 or 1.26 «g».
Award [1 max] for any similarity:
both compounds relieve symptoms of acid reflux/heartburn/indigestion
OR
both increase the stomach pH
both cause diarrhoea
Award [2 max] for any two differences:
omeprazole stops the production of acid/is a proton-pump inhibitor AND magnesium hydroxide neutralizes the «excess» acid that is present
omeprazole takes longer «than magnesium hydroxide» to provide relief
omeprazole is used to treat ulcers while magnesium hydroxide is not
omeprazole can prevent long term damage from overproduction of acid AND magnesium hydroxide does not
OR
omeprazole has a long term effect AND magnesium hydroxide has a short-term effect «only»
magnesium hydroxide affects ionic balance in the body AND omeprazole does not
Award [1 max] if two or three correct points are given about one of the compounds without addressing the other compound.
Examiners report
Aspirin, paracetamol (acetaminophen), morphine and diamorphine (heroin) are all pain killers. Their structures are given in Table 20 of the Data Booklet.
Aspirin is thought to interfere with the production of prostaglandins. Explain how this produces an analgesic effect.
Explain how morphine can prevent pain.
Paracetamol (acetaminophen) is generally considered to be safe to use as an analgesic in small doses. Other than the possibility of death, outline the problems associated with taking larger doses of paracetamol.
State one important use for aspirin other than the relief of pain and fever.
Explain what is meant by the term tolerance and suggest why this is a particular problem for heroin users.
Markscheme
prostaglandins are involved in the transmission of pain impulses (to the brain) / OWTTE;
morphine (temporarily) bonds to/inhibits receptor sites in the brain (without depressing central nervous system) / OWTTE;
causes blood disorders;
causes damage to kidney;
causes damage to liver;
causes damage to brain;
preventing (recurrence of) heart attacks/strokes / reduces blood clotting / thins the blood / anti-inflammatory;
tolerance: more of the drug needs to be taken to achieve the initial effect / OWTTE;
in order to achieve the desired effect heroin users may reach/exceed the lethal dose / heroin users are more likely to commit crimes to pay for gradually increasing doses of the drug / OWTTE;
Examiners report
This question was generally answered very well compared with other sections of the paper. In part (a) most candidates knew that prostaglandins is involved in the transmission of pain impulses to the brain.
In part (b) there was some confusion between signals and receptors when describing how morphine can prevent pain.
In part (c) most candidates could outline problems associated with larger doses of paracetamol (acetaminophen), although some candidates confused aspirin and paracetamol and incorrectly referred to Reye’s syndrome or stomach bleeding.
Most candidates stated a use for aspirin other than relief of pain or fever in part (d).
In part (f) most candidates successfully stated the meaning of tolerance and suggested why it is a particular problem for heroin users.
Radioisotopes are used to diagnose and treat various diseases. Explain the low environmental impact of most medical nuclear waste.
Markscheme
Any two of:
emits weak ionising radiation
OR
low activity/radioactivity
can be stored until material becomes inactive AND then disposed with normal waste
«isotopes» have short lives
OR
exist for a short period of time
Award [1 max] for “low-level waste/LLW”.
[Max 2 Marks]
Examiners report
Molecules of antibiotics often contain a beta-lactam ring. Explain the importance of the betalactam ring in the action of penicillin, using section 37 of the data booklet.
Markscheme
ring is «sterically» strained
OR
angles of 90° instead of 109.5/109/120° angles
OR
angles smaller than 109.5/109/120°/tetrahedral/trigonal planar/triangular planar angle
ring breaks up/opens/reacts «easily»
OR
amido/amine group «in ring» is «highly» reactive
binds to/reacts with/interferes with/inactivates transpeptidase
OR
binds to/reacts with/interferes with/inactivates enzyme responsible for bacterial cell wall formation/cross-linking
Examiners report
Aspirin and paracetamol (acetaminophen) are mild analgesics.
Morphine is a strong analgesic which is administered parenterally.
Explain why it is dangerous to take aspirin when ethanol has also been consumed.
State the meaning of the term parenteral.
Explain how a strong analgesic such as morphine prevents pain.
The structures of morphine and diamorphine (heroin) are shown in Table 20 of the Data Booklet. State the name of a functional group present in diamorphine (heroin) but not in morphine.
Markscheme
increased risk of stomach bleeding;
administered by injection;
(temporarily) bond to receptor sites in the brain/CNS;
prevent the transmission of pain impulses;
ester;
Examiners report
Most candidates were very familiar with analgesics and the synergistic effect of ethanol and aspirin.
Many of the weaker candidates thought that parenteral administration of morphine required supervision by parents or authorities. Assessment statement D.1.3 outlines the meaning of this technique.
Many candidates gave good descriptions of how morphine prevents pain.
Some analgesics are derived from compounds found in plants.
Aspirin is a mild analgesic derived from salicylic acid found in willow bark.
Describe how mild analgesics function.
The strong analgesics morphine and codeine are opiates. Outline how codeine can be synthesized from morphine. The structures of morphine and codeine are in section 37 of the data booklet.
Explain why opiates are addictive.
Markscheme
prevents/interferes with the production of prostaglandins
OR
prevents/interferes with the production of substances responsible for
inflammation/pain/fever
at the site of injury/source of pain
react with CH3I/methyl iodide «in alkaline solution»
Accept “react with CH3Cl/methyl chloride” OR “react with methyl halide”.
Accept name or formula of a suitable specific methylating reagent (eg trimethylphenylammonium chloride etc.).
Accept “hydroxy/alcohol” but not “hydroxide” for “hydroxyl”.
Any two of:
interact with opioid receptors in the brain
alter the structure of brain cells
OR
alter the way the brain works «so that it only works normally when the opiates are present»
OR
prevents transmission of pain impulses inside the brain
release dopamine «that the person craves»
OR
give a feeling of pleasure/euphoria «that the person craves»
withdrawal symptoms «prevent patient from terminating drug use»
Accept specific withdrawal symptoms.
[Max 2 Marks]
Examiners report
The production of many pharmaceutical drugs involves the use of solvents.
Suggest one problem associated with chlorinated organic solvents as chemical waste.
Suggest how the principles of green chemistry can be used to solve the environmental problems caused by organic solvents.
Markscheme
Any of:
«most are» toxic «to living organisms»
OR
incomplete combustion/incineration can produce toxic products/dioxins/phosgene
OR
carcinogenic
«some can be» greenhouse gases
ozone-depleting
can contribute to formation of «photochemical» smog
accumulate in groundwater
OR
have limited biodegradability
cost/hazards of disposal
Do not accept “harmful to the environment”.
Do not accept just “pollutes water”.
[1 mark]
use organic solvent-free synthetic methods
OR
use water as a solvent
OR
based on atom economy
OR
recover/reuse solvents
[1 mark]
Examiners report
Excess acid in the stomach can cause discomfort and more serious health issues.
Explain how ranitidine (Zantac) reduces stomach acid production.
The pH is maintained in different fluids in the body by the use of buffers.
Calculate the pH of a buffer solution of 0.0200 mol dm–3 carbonic acid, H2CO3, and 0.400 mol dm–3 sodium hydrogen carbonate, NaHCO3. The pKa of carbonic acid is 6.35.
Markscheme
blocks/binds to H2/histamine receptors «in cells of stomach lining»
OR
prevents histamine binding to H2/histamine receptors «and triggering acid secretion»
prevents parietal cells from releasing/producing acid
Accept "H2-receptor antagonist/H2RA" OR "blocks/inhibits action of histamine" for M1.
ALTERNATIVE 1
pH = «pKa + log \(\frac{{\left[ {{{\text{A}}^ - }} \right]}}{{\left[ {{\text{HA}}} \right]}}\) =» 6.35 + log (\(\frac{{0.400}}{{0.0200}}\))
«pH =» 7.65
ALTERNATIVE 2
Ka = 4.5 x 10–7
«Ka = 0.400 x \(\frac{{\left[ {{{\text{H}}^ + }} \right]}}{{0.0200}}\), [H+] =» 2.3 x 10–8 «mol dm–3»
«pH =» 7.64
Award [2] for correct final answer.
Do not accept “pH = 8”.
Examiners report
Many diseases are the result of infection of the body by either bacteria or viruses.
(i) State the name of one disease caused by each.
Bacteria:
Viruses:
(ii) Discuss the differences between bacteria and viruses.
Describe two misuses of antibiotics that have led to some bacteria becoming resistant.
It is much more difficult to produce effective antiviral drugs than drugs that kill bacteria. Describe two ways in which antiviral drugs work.
Markscheme
(i) Bacteria:
tuberculosis/TB / syphilis / cholera / salmonella / bronchitis / botulism / lyme disease / (stomach) ulcers / anthrax / diptheria / meningitis / MRSA / gonorrhea / chlamydia / septicaemia;
Viruses:
influenza / common cold / AIDS / herpes / rabies / small pox / polio / rubella / yellow fever / measles / mumps / encephalitis / chicken pox / shingles / mononucleosis;
Do not accept name of an organism (such as e-coli) rather than a disease.
(ii) bacteria larger than viruses / viruses are smaller than bacteria;
bacteria are cells / viruses comprise DNA in a protein coat;
bacteria have cell wall/nucleus/cytoplasm / viruses do not have cell components;
bacteria can reproduce without a host / viruses require host/cell for replication/reproduction;
bacteria are not always harmful/parasitic / viruses are always parasitic;
patient non-compliance / not completing courses / OWTTE;
overprescription;
use for animals/in animal feedstock;
Accept overuse.
Do not accept overdose.
becomes part of DNA of virus / alters virus DNA/genetic material / blocks enzyme (polymerase) which builds DNA;
changes the cell membrane so that it inhibits the virus entry/bonding to the cell;
prevents virus from leaving the cell (after reproduction);
prevents virus from using cell to multiply/reproduce/replicate;
Examiners report
Many candidates stated the correct name of one bacterial and one viral disease but some had problems stating differences between bacteria and viruses. Candidates must realize that AIDS is a viral disease not HIV.
In part (c), the terms “over dosage” and “over prescription” were often used interchangeably.
In part (d), the method of action of anti-viral was poorly explained. It seemed candidates, at times, learned several key phrases without clearly understanding their meaning and so used them in inappropriate context.
Oseltamivir (Tamiflu) and zanamivir (Relenza) are antiviral drugs used to prevent flu.
State the names of two functional groups that both compounds contain, using section 37 of the data booklet.
Explain how oseltamivir and zanamivir can stop the spread of the flu virus in the body.
Markscheme
Any two of:
amido
ether
carbonyl
Accept “amide/carboxamide”.
Accept “alkenyl/alkene”.
Accept “amino/amine”.
[Max 2 Marks]
by preventing the virus from leaving the host cell
by inhibiting viral enzymes/neuraminidases «needed to release virus»
Examiners report
Medicines and drugs are natural or synthetic substances used for their effects on the body.
List two general effects of medicines and drugs on the functioning of the body.
Markscheme
Any two for [1]
alter physiological state/consciousness/activity level/coordination
alter incoming sensory sensations
alter mood/emotions
Examiners report
The general effects of medicines and drugs on the functioning of the human body were generally very well answered.
Alexander Fleming, Howard Florey and Ernst Chain shared the Nobel Prize for “the discovery of penicillin and its curative effect in various infectious diseases”.
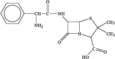
Ampicillin is a semi-synthetic penicillin used to treat lung infections. The structure of the antibiotic is shown below.

Describe the mode of action of penicillins in treating infectious diseases.
Identify two functional groups present in the side chain (R) of ampicillin by comparing its structure to that of penicillin in Table 20 in the Data Booklet.
Explain why it is important to continue to develop semi-synthetic penicillins.
Markscheme
interfere with cell wall formation (in bacteria) / prevent formation of crosslinks within cell wall;
Accept “destroys cell wall”.
size/shape of cell cannot be maintained / water enters the cell / osmosis occurs / cell bursts/disintegrates;
benzene/aromatic ring/ C6H5 /phenyl;
Accept the circle-in-hexagon or Kekule symbols
Do not allow benzene or arene.
amine/ NH2 / amino;
Do not award mark if reference to secondary/tertiary given.
to overcome the resistance that bacteria develop to existing antibiotics / increases resistance to penicillinase enzyme / OWTTE;
Do not accept “over prescription”.
prevents penicillinase enzyme from destroying penicillin / molecules have different shape/stability/solubility/side-chain / OWTTE;
Examiners report
The mode of action of penicillin in treating infectious diseases was generally well understood although some candidates referred to viruses instead of bacteria in their answers.
The two functional groups were usually correctly identified in (b) although some candidates lost marks due to imprecise answers: benzene instead of benzene ring, amide instead of amine.
Similarly explanations in (b) (ii) were often vague and failed to score the marks.
Medicines and drugs alter the physiological state of the body including consciousness and coordination.
Explain the meaning of the following terms:
State one other effect of medicines and drugs on the body.
therapeutic window.
tolerance.
Outline the major stages in the development of a new drug.
Markscheme
alters incoming sensory sensations / alters mood or emotions;
the range over which a drug can be safely administered / \({\text{T.I}} = \frac{{{\text{LD50}}}}{{{\text{ED50}}}}\) / ratio of the lethal dose for 50%population and the effective dose for 50% of population;
person needs to take ever larger quantities of a drug to gain the original effect;
drug is isolated from existing species / synthesized in the laboratory;
tested on animals to establish LD50;
tested on humans and half/some of the group is given a placebo;
Examiners report
Many candidates had difficulty explaining the term therapeutic window. Frequently they thought it referred to the time the drug was active in the body rather than an issue of dosage.
Many candidates had difficulty explaining the term therapeutic window. Frequently they thought it referred to the time the drug was active in the body rather than an issue of dosage. They fared better with explaining the terms tolerance and the placebo effect.
Candidates had more difficulty providing specific information about the drug development process, especially with respect to animal testing and human testing. Candidates needed to use accurate chemical terms when outlining the major stages in the development of a new drug.
A well-known brand of antacids contains 0.160 g of aluminium hydroxide and 0.105 g of magnesium carbonate in each tablet.
State the separate equations for the reactions of aluminium hydroxide and magnesium carbonate with hydrochloric acid.
Determine which of the two components of the tablet will neutralize the most acid.
On the leaflet which comes with the tablets it states that one of the side effects of the tablets is belching. Explain why this might occur.
Markscheme
\({\text{Al(OH}}{{\text{)}}_3} + {\text{3HCl}} \to {\text{AlC}}{{\text{l}}_3} + {\text{3}}{{\text{H}}_2}{\text{O}}\);
\({\text{MgC}}{{\text{O}}_3} + {\text{2HCl}} \to {\text{MgC}}{{\text{l}}_2} + {{\text{H}}_2}{\text{O}} + {\text{C}}{{\text{O}}_2}\);
\(n\,{\text{Al(OH}}{{\text{)}}_3} = \frac{{0.160}}{{77.95}} = 2.05 \times {10^{ - 3}}{\text{ (mol)}}\)
and \(n\,{\text{MgC}}{{\text{O}}_{\text{3}}} = \frac{{0.105}}{{84.32}} = 1.25 \times {10^{ - 3}}{\text{ (mol)}}\);
Do not penalize use of integer values for \({M_r}\).
\({\text{Al(OH}}{{\text{)}}_3}\) neutralizes \({\text{6.15}} \times {\text{1}}{{\text{0}}^{ - 3}}{\text{ mol}}\) of acid and
\({\text{MgC}}{{\text{O}}_{\text{3}}}\) neutralizes \(2.50 \times {10^{ - 3}}{\text{ mol}}\) of acid;
due to carbon dioxide (from reaction of \({\text{MgC}}{{\text{O}}_{\text{3}}}{\text{/NaHC}}{{\text{O}}_{\text{3}}}\) with acid);
Examiners report
Most candidates were very familiar with at least one of the two equations. Some did not read the question carefully and stated the equation for magnesium hydroxide instead of magnesium carbonate.
Unfortunately many lost points in (b) as they did not carry through the calculations corresponding to the provided data and some did not realize that a calculation was required.
Part (d) was mostly correctly answered.
Two substances commonly used in antacid tablets are magnesium hydroxide and aluminium hydroxide.
State an equation to represent a neutralization reaction with one of the above antacids.
State and explain whether 0.1 mol of magnesium hydroxide is more effective or less effective than 0.1 mol of aluminium hydroxide.
Suggest why compounds such as sodium hydroxide or potassium hydroxide cannot be used as an antacid.
Markscheme
\({\text{Al(OH}}{{\text{)}}_3} + {\text{3HCl}} \to {\text{AlC}}{{\text{l}}_3} + {\text{3}}{{\text{H}}_2}{\text{O}}/{\text{Mg(OH}}{{\text{)}}_2} + {\text{2HCl}} \to {\text{MgC}}{{\text{l}}_2} + {\text{2}}{{\text{H}}_2}{\text{O}}\);
Accept ionic equations.
less effective and (magnesium hydroxide) 2/0.2 mol \({\text{O}}{{\text{H}}^ - }\) ions available as compared to (aluminium hydroxide) 3/0.3 mol OH– ions for neutralization / neutralizes \({\text{2}}{{\text{H}}^ + }\)/0.2 mol acid as compared to \({\text{3}}{{\text{H}}^ + }\)/0.3 mol acid; [1]
Do not accept aluminium hydroxide can neutralize more acid.
strong base / corrosive / harmful to the body;
Examiners report
Whilst quite a few candidates could write one of the required balanced equations a surprising large number could not succeed in this simple task. Answers to the second part of this question often lacked the stoichiometric rigour required and the reasons for not using strong alkalis provoked an amazing range of responses, mostly incorrect and many exposing a worrying lack of basic chemical knowledge. Only a minority of the students could correctly identify the function of alginates and dimethicone in antacid preparations.
Whilst quite a few candidates could write one of the required balanced equations a surprising large number could not succeed in this simple task. Answers to the second part of this question often lacked the stoichiometric rigour required and the reasons for not using strong alkalis provoked an amazing range of responses, mostly incorrect and many exposing a worrying lack of basic chemical knowledge. Only a minority of the students could correctly identify the function of alginates and dimethicone in antacid preparations.
Whilst quite a few candidates could write one of the required balanced equations a surprising large number could not succeed in this simple task. Answers to the second part of this question often lacked the stoichiometric rigour required and the reasons for not using strong alkalis provoked an amazing range of responses, mostly incorrect and many exposing a worrying lack of basic chemical knowledge. Only a minority of the students could correctly identify the function of alginates and dimethicone in antacid preparations.
Analgesics are used to relieve pain in the body. Aspirin and paracetamol (acetaminophen) are both mild analgesics.
The structures of the strong analgesics morphine and heroin (diamorphine) can be found in Table 20 of the Data Book
Compare how mild and strong analgesics relieve pain in the body.
Identify the amine functional group in the morphine molecule below by drawing a ring around it.

State the name of the functional group found in heroin but not in morphine.
State one advantage and one disadvantage of using morphine as a strong analgesic.
Markscheme
mild analgesics function by intercepting the pain stimulus at the source / interfere with the production of substances that cause pain/prostaglandins;
strong analgesics work by bonding to receptor sites in the brain / prevent the transmission of pain impulses without depressing the central nervous system;

any circle around the nitrogen atom / the nitrogen atom and its three neighboring atoms;
ester;
Advantage: antidiarrheal/constipation (in treatment of diarrhea) / reduces coughing;
Disadvantage: addiction / tolerance / risk of overdose;
Examiners report
Most candidates were able to distinguish between the ways mild analgesics and strong analgesics relieve pain in part (b).
A substantial number of candidates failed to identify the tertiary amine in the structure of morphine. Candidates were inaccurate in drawing a circle around the amine group in part (c). Either just the nitrogen atom or nitrogen atom with its three neighbouring atoms should have been circled.
A large number of candidates confused the ester with an ether or carbonyl group as the functional group found in heroin but not in morphine.
Most candidates recognized the disadvantage of using morphine but they had extreme difficulty in stating a specific advantage for using morphine as a strong analgesic.
Penicillin was one of the first antibiotics to be isolated and identified for its ability to treat bacterial infections.
Explain the importance of the beta-lactam ring in the antibiotic activity of penicillin.
Identify two dangers of the overuse of antibiotics.
Markscheme
ring is «sterically» strained
OR
angles of 90° instead of 109.5/109/120° angles
OR
angles smaller than 109.5/109/120°/tetrahedral/trigonal planar/triangular planar angle
ring breaks up/opens/reacts «easily»
OR
amide/amido group «in ring» is «highly» reactive
binds to/reacts with/interferes with/inactivates transpeptidase/enzyme
responsible for bacterial cell wall formation/cross-linking
Do not accept “cell membrane” for “cell wall”.
Accept “bonds to” for “binds to” in M3
Any two for [1 max] from:
leads to «bacterial» resistance «of antiobiotics»
OR
makes antibiotics less effective
OR
increased side effects due to larger dosages
proportion of resistant bacteria increases
destroys useful/beneficial bacteria
OR
destroyed bacteria replaced by more harmful bacteria
resistant bacteria pass on their resistance/mutation to next generation
damage to ecosystems
Accept “superbugs such as MRSA develop” but superbug must be identified.
Examiners report
State two ways in which viruses are different from bacteria.
Describe two ways in which antiviral drugs work.
Markscheme
bacteria are a single cell / viruses are not cellular;
bacteria have cell walls/nuclei / viruses have no nucleus/cell wall;
bacteria larger than viruses / viruses smaller than bacteria;
viruses need host cell to reproduce / viruses take over another cell;
bacteria are organisms/living / bacteria metabolise/can grow/feed/excrete /
viruses are not living / viruses do not metabolise/grow/feed/excrete;
Allow “bacteria have both DNA and RNA / viruses have either RNA or DNA only (but not both)”.
alter cell’s genetic material;
block enzyme activity within host cell;
(changes cell membrane so that it) inhibits virus entry/bonding to cell;
prevents virus from leaving cell (after reproduction);
becomes part of DNA of virus / alters virus / blocks enzyme (polymerase) which builds DNA;
prevents virus from using cell to multiply/reproduce/replicate / prevents virus from using cell’s metabolism;
Examiners report
This question proved to be a life-line for candidates with a strong knowledge of biology and in both parts many candidates scored full marks. Many candidates gave overly lengthy answers here and more concise answers could easily have been given such as bacteria are larger than viruses and bacteria have cell walls unlike viruses in part (a).
This question proved to be a life-line for candidates with a strong knowledge of biology and in both parts many candidates scored full marks. Many candidates gave overly lengthy answers here and more concise answers could easily have been given such as bacteria are larger than viruses and bacteria have cell walls unlike viruses in part (a).
Two different antibacterials are sodium piperacillin and doxycycline. Sodium piperacillin is a type of penicillin and doxycycline belongs to a class of drugs known as the tetracyclines.

Explain how penicillins are able to cure certain diseases caused by bacteria.
Sodium piperacillin has a different side chain to the original penicillin developed by Florey and Chain. State one advantage of changing the side chain.
Explain why it may be necessary to give a mixture of several different types of antibacterials (such as penicillins and tetracyclines) to patients suffering from diseases such as tuberculosis (TB) or MRSA (a disease caused by the presence of the staphylococcus aureus bacterium).
Markscheme
prevents the growth/ multiplication of bacteria (causing disease);
Accept “kills bacteria”.
interferes with the enzymes that bacteria need to make normal cell walls / prevents normal cell wall formation;
Do not accept “Destroys cell walls”.
cells absorbs water (by osmosis) and ruptures/bursts;
does not need to be injected / not broken down by stomach acid / resistant to penicillinase;
Accept “overcomes resistance of bacteria” / OWTTE;
Do not accept “immune” rather than “resistant”.
some bacteria may be resistant to just one antibiotic / can make \(\beta \)-lactamase/penicillinase (which can degrade penicillin);
few bacteria resistant to all the antibiotics / prevents the risk of further resistance developing;
Unless penalised in D3 (b), do not accept “immune” rather than “resistant”.
Examiners report
Many students knew that penicillins affected the walls of bacteria, though many wrongly stated that it destroyed the cell wall, rather than hindering its formation. The effects of changing the side chain were generally appreciated, but once again, in the final part of the question, students often failed to express the reasons for using multiple antibacterials clearly enough to gain full credit. In the last two parts candidates often, incorrectly, referred to bacteria being “immune” or “tolerant” rather than “resistant” - another example of a failure to use precise vocabulary correctly.
Many students knew that penicillins affected the walls of bacteria, though many wrongly stated that it destroyed the cell wall, rather than hindering its formation. The effects of changing the side chain were generally appreciated, but once again, in the final part of the question, students often failed to express the reasons for using multiple antibacterials clearly enough to gain full credit. In the last two parts candidates often, incorrectly, referred to bacteria being “immune” or “tolerant” rather than “resistant” - another example of a failure to use precise vocabulary correctly.
Many students knew that penicillins affected the walls of bacteria, though many wrongly stated that it destroyed the cell wall, rather than hindering its formation. The effects of changing the side chain were generally appreciated, but once again, in the final part of the question, students often failed to express the reasons for using multiple antibacterials clearly enough to gain full credit. In the last two parts candidates often, incorrectly, referred to bacteria being “immune” or “tolerant” rather than “resistant” - another example of a failure to use precise vocabulary correctly.
The structures of morphine, diamorphine and codeine are given in section 37 of the data booklet.
Explain why diamorphine passes more readily than morphine through the blood-brain barrier.
Suggest a reagent used to prepare diamorphine from morphine.
Suggest one reason why codeine is available without prescription in some countries whilst morphine is administered under strict medical supervision.
Markscheme
Any two of:
diamorphine has ester/ethanoate/acetate «groups» AND morphine has hydroxyl «groups»
diamorphine/ester/ethanoate/acetate groups less polar
diamorphine more soluble in lipids
Accept “alcohol/hydroxy” for “hydroxyl” but not “hydroxide”.
Accept “diamorphine non-polar”.
Accept converse statements.
[2 marks]
ethanoic/acetic anhydride
OR
ethanoyl/acetyl chloride
Accept other possible reagents, such as ethanoic/acetic acid or acetyl bromide.
Accept chemical formulas.
[1 mark]
morphine has a smaller therapeutic window
Accept converse statements.
Accept “codeine has lower activity” OR “codeine has lower risk of overdose” OR “codeine is less potent”.
Do not accept “lower abuse potential for codeine” OR “codeine less addictive” OR “codeine has a lower bioavailability”.
[1 mark]
Examiners report
The buffer formed by carbon dioxide, CO2(aq) and hydrogen carbonate ion, HCO3−(aq), plays an important role in maintaining the pH of blood.
Calculate the pH of the buffer from the following data and section 1 of the data booklet.
pKa(CO2) = 6.34
[HCO3−(aq)] = 1.40 × 10−2 mol\(\,\)dm−3
[CO2(aq)] = 1.25 × 10−3 mol\(\,\)dm−3
Explain the effect of a large amount of aspirin on the pH of blood.
Markscheme
«pH = pKa + log10 \(\left( {\frac{{\left[ {{\text{HC}}{{\text{O}}_3}^ - } \right]}}{{\left[ {{\text{C}}{{\text{O}}_2}} \right]}}} \right) = 6.34 + {\log _{10\;}}(11.2) = 6.34 + 1.05\)» = 7.39
[1 mark]
H+ from aspirin reacts with HCO3− to form CO2 and H2O
OR
H+(aq) + HCO3−(aq) \( \rightleftharpoons \) CO2(aq) + H2O(l)
OR
reverse reaction favoured «to use up some of the H+ added»
pH decreases
No mark for “stating aspirin is a weak acid that dissociates partially to produce H+” without reference to reaction with HCO3− or to the equation.
Reversible arrows not required for the mark.
Do not accept “small pH change when small amount of H+ is added”.
[2 marks]
Examiners report
Mild analgesics such as aspirin, and strong analgesics such as opiates, differ not only in their potency but also in the ways they act on the central nervous system.
(a) Describe how mild and strong analgesics provide pain relief.
Mild analgesics:
Strong analgesics:
(b) Discuss two advantages and two disadvantages of using morphine and other opiates for pain relief.
Advantages:
Disadvantages:
Markscheme
(a) Mild analgesics:
suppress the production of prostaglandins/pain-sensitizing substances / intercept the pain stimulus at the source;
Strong analgesics:
bind to (opioid) receptors in the CNS/central nervous system/brain / suppress the transmission of pain impulses to the brain / OWTTE;
(b) Advantages: [2 max]
strong(er) analgesics / relieve acute/extreme pain;
wide therapeutic window / OWTTE;
relieve anxiety / induce relaxation / improve the quality of life;
intravenous/faster distribution of drug;
Disadvantages: [2 max]
euphoria / lack of self-control / dangerous behaviour;
addiction/dependence / withdrawal symptoms;
tolerance / increased risk of overdose upon prolonged use;
kidney/renal failure;
risks associated with intravenous drug administration;
Accept other side-effects (including drug-specific for different opiates).
Examiners report
Many candidates displayed good knowledge about the differences in the mode of action of weak and strong analgesics, as well as the advantages and disadvantages of the latter.
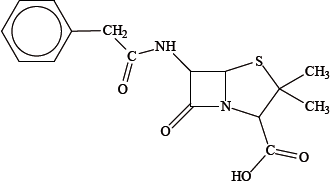
The first penicillin to be used was benzylpenicillin (Penicillin G), its structure is shown below.

Explain how penicillins are able to act as antibacterials.
Modern penicillins have a similar structure to Penicillin G but a different side-chain.
State two advantages of modifying the side-chain.
Markscheme
penicillins interfere with the enzymes that bacteria need to make cell walls / interfere with formation of bacterial cell wall / OWTTE;
the increased osmotic pressure causes the bacterium to die / the bacterial cells absorb too much water and burst / OWTTE;
resistant to penicillinase enzyme / more resistant to bacteria breaking it down / effective against bacteria which are resistant (to penicillin G);
resistance to breakdown by stomach acid (so can be taken orally) / OWTTE;
Examiners report
In part (a) there were some very good, very detailed explanations of how penicillins act as antibacterials, and some very vague statements.
Many candidates scored only half marks for part (b) by correctly referring to resistance, although they correctly discussed the use of a cocktail of antibiotics to treat tuberculosis in part (c).
Explain the meaning of the terms:
The effectiveness of a drug depends on the method of administration.
side-effect
therapeutic window
One method of injecting drugs into the body results in the drug having a very rapid effect. State the method and explain its rapid action.
List the two other methods which can be used to inject drugs into the body.
Identify the method of administration used to treat respiratory diseases such as asthma.
Markscheme
an effect produced in addition to the one intended / unwanted/undesired effect;
range of a drugs concentration (in blood) between effective/\({\text{E}}{{\text{D}}_{{\text{50}}}}\) and toxic levels/\({\text{L}}{{\text{D}}_{{\text{50}}}}\) / (Therapeutic Index) = \({\text{L}}{{\text{D}}_{{\text{50}}}}\) / \({\text{E}}{{\text{D}}_{{\text{50}}}}\);
Do not accept “difference of drug concentration”.
intravenous / into veins;
transported/pumped via blood (to various parts of body);
intramuscular/intermuscular/into muscles and subcutaneous/into fat;
Allow [1] if all three methods are stated in (b) (i) and (ii) but not in correct place.
inhalation/breathing it in;
Examiners report
This was generally very well answered, with no serious errors.
This was generally very well answered, with no serious errors.
This was generally very well answered, with no serious errors.
This was generally very well answered, with no serious errors.
This was generally very well answered, with no serious errors.
Morphine and its derivatives work by temporarily bonding to receptor sites in the brain, preventing the transmission of pain impulses.
Discuss one advantage and two disadvantages of using morphine as an analgesic.
Advantage:
Disadvantages:
The structures of morphine and diamorphine (heroin) are shown in table 20 of the data booklet. Describe the difference in the two structures by naming the functional groups.
Markscheme
Advantage:
relieves strong/severe pain / relieves pain caused by serious injury/cancer/surgery/heart attack / (intravenous so) faster acting;
Accept relieves anxiety / wide safety margin.
Do not accept just “relieves pain”.
Disadvantages:
Any two for [2 max] of:
(profound) tolerance develops;
addictive/(physical) dependence/habit forming;
causes drowsiness / mental clouding / depression/mood changes / constipation / loss of appetite / depression of the respiratory centre / nausea / suppresses cough reflex / pupil (of the eye) constriction / kidney/liver disorders;
Do not accept other disadvantages, such as overdose and coma.
morphine has (two) hydroxyl groups and diamorphine (heroin) has (two) ester groups;
Accept alcohol or hydroxy for hydroxyl but not hydroxide.
Examiners report
Many candidates focused their response on the description of morphine as a strong analgesic rather than on the advantage of using morphine although the disadvantages of its use were well known. The structural differences between morphine and diamorphine were often well known.
Many candidates focused their response on the description of morphine as a strong analgesic rather than on the advantage of using morphine although the disadvantages of its use were well known. The structural differences between morphine and diamorphine were often well known.
Aluminium hydroxide and calcium carbonate are both used as antacids.
State an equation for the reactions that occur in the stomach for both substances with hydrochloric acid.
Aluminium hydroxide:
Calcium carbonate:
A typical antacid tablet has a mass of about 1 g. Determine which of the two antacids will neutralize the greater amount of hydrochloric acid if tablets of each are added to separate samples of acid. A detailed calculation is not required.
Potassium hydroxide also neutralizes hydrochloric acid. Suggest why it is not used as an antacid.
Markscheme
\({\text{Al(OH}}{{\text{)}}_3}{\text{(s)}} + {\text{3HCl(aq)}} \to {\text{AlC}}{{\text{l}}_3}{\text{(aq)}} + {\text{3}}{{\text{H}}_2}{\text{O(l)}}\);
\({\text{CaC}}{{\text{O}}_3}{\text{(s)}} + {\text{2HCl(aq)}} \to {\text{CaC}}{{\text{l}}_2}{\text{(aq)}} + {{\text{H}}_2}{\text{O(l)}} + {\text{C}}{{\text{O}}_2}{\text{(g)}}\);
Ignore state symbols.
\({\text{Al(OH}}{{\text{)}}_{\text{3}}}\) has smaller molar mass (so more moles per tablet);
one mole of \({\text{Al(OH}}{{\text{)}}_{\text{3}}}\) neutralizes more moles of acid;
OR
(for Al(OH)3) \({n_{^{{\text{HCL}}}}} = \frac{3}{{78}}{\text{ (mol)}}\);
(for CACO3) \({n_{^{{\text{HCL}}}}} = \frac{2}{{100}}{\text{ (mol)}}\);
strong (soluble) base/alkali;
damage to/corrosive to body/tissue;
Examiners report
There were various interpretations of the formula of aluminium hydroxide in (a) and many were able to gain one mark, the stoichiometric mark, in (b). Many did not realize that molar mass is also of consequence. Part (c) was a source of concern with many candidates showing an absolute lack of knowledge of potassium hydroxide and its chemical nature. Indeed, many seemed to think that we were asking about potassium itself! One common answer was that KOH only neutralizes one mole of HCl. The answers to (d) were either very good or somewhat vague and lacked specific reference to how placebos are used in drug development.
There were various interpretations of the formula of aluminium hydroxide in (a) and many were able to gain one mark, the stoichiometric mark, in (b). Many did not realize that molar mass is also of consequence. Part (c) was a source of concern with many candidates showing an absolute lack of knowledge of potassium hydroxide and its chemical nature. Indeed, many seemed to think that we were asking about potassium itself! One common answer was that KOH only neutralizes one mole of HCl. The answers to (d) were either very good or somewhat vague and lacked specific reference to how placebos are used in drug development.
There were various interpretations of the formula of aluminium hydroxide in (a) and many were able to gain one mark, the stoichiometric mark, in (b). Many did not realize that molar mass is also of consequence. Part (c) was a source of concern with many candidates showing an absolute lack of knowledge of potassium hydroxide and its chemical nature. Indeed, many seemed to think that we were asking about potassium itself! One common answer was that KOH only neutralizes one mole of HCl. The answers to (d) were either very good or somewhat vague and lacked specific reference to how placebos are used in drug development.
State one difference between viruses and bacteria.
Discuss three methods in which the activities of humans has created an increase in the resistance to penicillin in bacteria populations.
Markscheme
viruses smaller than bacteria;
viruses do not have a nucleus/cytoplasm/cell membrane/cell wall/ribosomes;
viruses are not cells;
viruses do not feed/excrete/grow;
Allow viruses are not living/alive.
overuse of antibiotics has increased proportion of resistant bacteria;
use of penicillin in animal feedstock has introduced antibiotics into human food chain (increasing proportion of resistant bacteria);
patients not completing course of antibiotics increases proportion/spread of resistant bacteria;
Examiners report
Most candidates scored the mark in (a).
A number of journalistic responses were given in part (b) where candidates did not discuss the activities of humans that have created an increase in resistant bacteria. Some candidates misread the question and discussed how penicillin had been modified to combat resistant bacteria. Overuse and developing resistance was generally the only valid reason given.
Depressants can have different effects depending on their doses.
A breathalyser containing crystals of potassium dichromate(VI) can be used by the police to detect whether a driver has consumed alcohol.
State the chemical formula for potassium dichromate(VI).
Describe the colour change observed during its reaction with ethanol.
State the oxidation number of chromium in the product.
Deduce the full balanced chemical equation for the redox reaction of ethanol with acidified potassium dichromate(VI).
State the name of the organic product formed.
An intoximeter is used to determine an accurate value for the concentration of ethanol in the breath. Explain one technique used for the detection of ethanol in an intoximeter.
Markscheme
\({{\text{K}}_{\text{2}}}{\text{C}}{{\text{r}}_{\text{2}}}{{\text{O}}_{\text{7}}}\);
orange to green;
Allow yellow instead of orange.
+3/III;
Do not allow incorrect notation such as 3+ or 3.
\({\text{3C}}{{\text{H}}_3}{\text{C}}{{\text{H}}_2}{\text{OH}} + {\text{2C}}{{\text{r}}_2}{\text{O}}_7^{2 - } + {\text{16}}{{\text{H}}^ + } \to {\text{3C}}{{\text{H}}_3}{\text{C}}{{\text{O}}_2}{\text{H}} + {\text{4C}}{{\text{r}}^{3 + }} + {\text{11}}{{\text{H}}_2}{\text{O}}\)
correct formulas of \({\text{C}}{{\text{H}}_{\text{3}}}{\text{C}}{{\text{H}}_{\text{2}}}{\text{OH}}\) and \({\text{C}}{{\text{r}}_{\text{2}}}{\text{O}}_{\text{7}}^{{\text{2}} - }{\text{/}}{{\text{K}}_{\text{2}}}{\text{C}}{{\text{r}}_{\text{2}}}{{\text{O}}_{\text{7}}}\) as reactants and
\({\text{C}}{{\text{H}}_{\text{3}}}{\text{C}}{{\text{O}}_{\text{2}}}{\text{H/C}}{{\text{H}}_{\text{3}}}{\text{COOH}}\) and \({\text{C}}{{\text{r}}^{3 + }}\) as products;
full balanced chemical equation;
M2 can only be scored if M1 is correct.
Allow full balanced chemical equation to produce ethanal,
\({\text{3C}}{{\text{H}}_3}{\text{C}}{{\text{H}}_2}{\text{OH}} + {\text{C}}{{\text{r}}_2}{\text{O}}_7^{2 - } + {\text{8}}{{\text{H}}^ + } \to {\text{3C}}{{\text{H}}_3}{\text{CHO}} + {\text{2C}}{{\text{r}}^{3 + }} + {\text{7}}{{\text{H}}_2}{\text{O}}\).
Accept full or condensed structural formulas.
ethanoic acid;
Allow acetic acid.
Allow ethanal/acetaldehyde.
infrared (spectroscopy)/IR;
CH characteristic band (at \({\text{2950 c}}{{\text{m}}^{ - 1}}\)) for ethanol / C–H bonds in ethanol absorb at certain frequency/wavelength;
Do not award M2 for CH characteristic band if however wavenumber range/value is given for OH (eg, 3200–3600 cm–1 or value in between or even 2500–3300 cm–1).
area under peak used to measure concentration (of ethanol);
Accept “size of” instead of “area under”.
Do not accept “height” instead of “area under”.
OR
fuel cell;
ethanol converts/oxidized to \({\text{C}}{{\text{O}}_{\text{2}}}\) and \({{\text{H}}_{\text{2}}}{\text{O}}\);
(energy released converted to) voltage/potential difference (which is) proportional to/can be used to measure concentration (of ethanol);
Allow potential instead of potential difference.
Examiners report
Only about half the candidates gave the correct formula for potassium dichromate(VI).
Most candidates knew the colour change.
The oxidation number was often given using incorrect notation (3+ or 3) failing to score the mark.
The redox equation was challenge except for the strongest candidates.
About half the candidates gave the correct product for the oxidation of ethanol.
Part (c) was poorly answered. About half of the candidates scored one mark for recognizing that the intoximeter used IR radiation. Few candidates gained a second mark for recognizing that the absorption by C-H bonds is used to determine ethanol concentration. It was rare to see an answer mentioning the area under the peak or using the fuel cell in the intoximeter.
Ethanol is a depressant.
The presence of ethanol in the breath can be detected by blowing into a “bag” through a tube containing acidified potassium dichromate(VI). The half-equation for the dichromate reaction is:
\[{\text{C}}{{\text{r}}_2}{\text{O}}_7^{2 - }{\text{(aq)}} + {\text{14}}{{\text{H}}^ + }{\text{(aq)}} + {\text{6}}{{\text{e}}^ - } \to {\text{2C}}{{\text{r}}^{3 + }}{\text{(aq)}} + {\text{7}}{{\text{H}}_2}{\text{O(l)}}\]
Describe the colour change observed when the dichromate ion reacts with the ethanol.
State the name of the organic product formed during the reaction.
In order to quantify exactly how much ethanol is present in the blood, a person may be required to give a blood sample or may be asked to blow into an intoximeter. Explain the chemistry behind the techniques for determining the ethanol content in a blood sample and by using an intoximeter.
Blood sample:
Intoximeter:
Ethanol may exert a synergistic effect when taken with other medicines. State the meaning of the term synergistic effect.
Markscheme
from orange to green;
ethanal/acetaldehyde/CH3CHO / ethanoic acid/acetic acid/CH3COOH;
Do not accept aldehyde / carboxylic acid.
Blood sample:
gas(-liquid) chromatography/GLC/GC / high pressure/performance liquid chromatography/HPLC;
No credit for just “chromatography”.
column separates the alcohol/ethanol from the other components in the blood / retention time identifies alcohol/ethanol / (the amount of alcohol/ethanol in the blood is) compared with a known sample / by measuring the area under the eluted peaks / OWTTE;
Intoximeter:
infrared spectroscopy/infrared light passed through;
the absorption of the C–H/C–O bond is measured (and compared with a calibrated sample) / OWTTE;
OR
fuel cell;
an electric current/voltage is generated (proportional to the concentration of alcohol/ethanol in the breath) / OWTTE;
enhances the effect/causes a stronger/different effect of another drug (present in the body at the same time);
Examiners report
This question produced significantly lower marks. In the first part candidates often confused moderate and high dose symptoms and the latter were often confused with chronic effects. The colour change and product were widely known though, as in the past, some students forgot that a colour change involves stating both the initial and final colour and some gave the class of compound (aldehyde/carboxylic acid) rather than the specific product from ethanol. Only a handful of students gained any of the marks for specific techniques used to assess blood alcohol levels, with IR methods being the best known. Many knew what a “synergistic effect” was, but many struggled to convey this in appropriate language rather than just quoting an example of this type of activity.
This question produced significantly lower marks. In the first part candidates often confused moderate and high dose symptoms and the latter were often confused with chronic effects. The colour change and product were widely known though, as in the past, some students forgot that a colour change involves stating both the initial and final colour and some gave the class of compound (aldehyde/carboxylic acid) rather than the specific product from ethanol. Only a handful of students gained any of the marks for specific techniques used to assess blood alcohol levels, with IR methods being the best known. Many knew what a “synergistic effect” was, but many struggled to convey this in appropriate language rather than just quoting an example of this type of activity.
This question produced significantly lower marks. In the first part candidates often confused moderate and high dose symptoms and the latter were often confused with chronic effects. The colour change and product were widely known though, as in the past, some students forgot that a colour change involves stating both the initial and final colour and some gave the class of compound (aldehyde/carboxylic acid) rather than the specific product from ethanol. Only a handful of students gained any of the marks for specific techniques used to assess blood alcohol levels, with IR methods being the best known. Many knew what a “synergistic effect” was, but many struggled to convey this in appropriate language rather than just quoting an example of this type of activity.
This question produced significantly lower marks. In the first part candidates often confused moderate and high dose symptoms and the latter were often confused with chronic effects. The colour change and product were widely known though, as in the past, some students forgot that a colour change involves stating both the initial and final colour and some gave the class of compound (aldehyde/carboxylic acid) rather than the specific product from ethanol. Only a handful of students gained any of the marks for specific techniques used to assess blood alcohol levels, with IR methods being the best known. Many knew what a “synergistic effect” was, but many struggled to convey this in appropriate language rather than just quoting an example of this type of activity.
The structures of aspirin and diamorphine (heroin) are given in Table 20 of the Data Booklet.
Other than the benzene (aromatic) ring, state the name of the functional group that is common to both aspirin and diamorphine.
Describe the different ways in which aspirin and diamorphine function when they relieve or prevent pain.
Aspirin:
Diamorphine:
Other than the prevention of pain and/or the reduction of fever, state one reason why aspirin is often prescribed or recommended to some people for daily use.
Discuss one advantage and one disadvantage of taking diamorphine rather than morphine to relieve pain.
Advantage:
Disadvantage:
Markscheme
ester;
Accept ethanoate/acetate.
Do not accept formula.
Aspirin:
Intercepts pain stimulus at source / blocks/interferes with production of substances/prostaglandins that cause pain/swelling/fever / OWTTE;
Diamorphine:
(temporarily) bonds to/blocks/interferes with receptor sites/synapses in the brain / prevent transmission of pain impulses (without depressing central nervous system/CNS) / OWTTE;
Award [1 max] if answer states that mild analgesic acts at source and strong analgesics act in the brain/CNS.
prevent stroke/heart attack/disease / thin blood / reduces risk of blood clots / antiinflammatory;
Advantage:
stronger pain killer / lower dose required / quicker acting;
Disadvantage:
more addictive / easier to build up tolerance and exceed lethal dose / smaller therapeutic window/index / OWTTE;
Examiners report
This was well answered. Most students could correctly identify the group common to both analgesics and could explain the differences in their modes of action, though the terms used often lacked precision. The reasons for regularly taking low doses of aspirin and the advantages and disadvantages of morphine and heroin, were also well known.
This was well answered. Most students could correctly identify the group common to both analgesics and could explain the differences in their modes of action, though the terms used often lacked precision. The reasons for regularly taking low doses of aspirin and the advantages and disadvantages of morphine and heroin, were also well known.
This was well answered. Most students could correctly identify the group common to both analgesics and could explain the differences in their modes of action, though the terms used often lacked precision. The reasons for regularly taking low doses of aspirin and the advantages and disadvantages of morphine and heroin, were also well known.
This was well answered. Most students could correctly identify the group common to both analgesics and could explain the differences in their modes of action, though the terms used often lacked precision. The reasons for regularly taking low doses of aspirin and the advantages and disadvantages of morphine and heroin, were also well known.
Describe and explain difficulties associated with solving the AIDS problem.
Markscheme
HIV invades/bind to white blood cells/T4/T cells / OWTTE;
HIV viruses can mutate;
HIV viruses have similar metabolism to (human) cells/uses host cells to replicate;
high price of (antiretroviral) drugs / socioeconomic / cultural issues;
Examiners report
The question was answered surprisingly poorly. Many candidates gave a description of the mechanism of action of anti-viral drugs, but made no reference to socio-economic issues, other gave a detailed description of socio-economic issues, and only obtained one mark.
Oseltamivir (Tamiflu) and zanamivir (Relenza) are both used as antivirals to help prevent the spread of the flu virus, but are administered by different methods.
Zanamivir must be taken by inhalation, not orally. Deduce what this suggests about the bioavailability of zanamivir if taken orally.
Oseltamivir does not possess the carboxyl group needed for activity until it is chemically changed in the body. Deduce the name of the functional group in oseltamivir which changes into a carboxyl group in the body. Use section 37 of the data booklet.
The synthesis of oseltamivir is dependent on a supply of the precursor shikimic acid, which is available only in low yield from certain plants, notably Chinese star anise. State one alternative green chemistry source of shikimic acid.
Markscheme
«oral bioavailability is» low
OR
drug is broken down/pH too low/unable to be absorbed from gut
OR
only a small proportion of the drug «taken by mouth» reaches the target organ
ethoxycarbonyl/carbonyl attached to oxygen
Accept “ester”.
Any one of:
fermentation
OR
microbial production
genetically engineered bacteria/E.coli
sweetgum «seeds/leaves/bark»
OR
pine/fir/spruce tree «needles»
OR
Ginkgo biloba
Accept other specific examples of more plentiful plant sources.
Examiners report
Bacterial and viral infections require different types of medication.
(a) Outline two differences between bacteria and viruses.
(b) Antiviral drugs are used for the treatment of HIV and other viral infections. Describe two ways in which antiviral drugs work.
(c) Discuss why viral infections are generally harder to treat than bacterial infections.
Markscheme
(a) bacteria are self-reproducing units while viruses are not / viruses need living hosts/cells to multiply / OWTTE;
bacteria are able to grow/metabolise/feed and excrete / viruses lack metabolic functions;
bacteria contain various cell subunits/organelles/cell wall (performing specific functions) / viruses consist only of genetic material and protective coating;
bacteria are (many times) larger than viruses / viruses are smaller than bacteria;
bacteria have more complex DNA / viruses have simpler DNA;
viruses mutate/multiply (much) faster than bacteria / bacteria mutate/multiply slower than viruses;
If comparative term used e.g. smaller what it’s compared to is not required.
(b) alter cells genetic material so that virus cannot use it to multiply;
prevent viruses from multiplying by blocking enzyme activity within host cell / inhibit the synthesis of viral components by blocking enzymes inside the cell;
prevent viruses from entering (human) cell / bind to cellular receptors targeted by viruses / bind to virus-associated proteins/VAPs which target cellular receptors;
prevent/hinder the release of viruses from the cell;
(c) viruses mutate quickly so adapt to drugs/evade immune system response / OWTTE;
bacteria are more complex and thus can be targeted in more ways / viruses lack subunits/functions targeted by antibacterials / OWTTE;
bacteria can be killed/impaired by simple chemical agents / viruses cannot be killed and must be targeted on genetic level / OWTTE;
different types of bacteria employ similar metabolic processes and thus can be targeted by common antibacterials / each kind of virus usually requires special drugs/approaches / OWTTE;
Examiners report
This was probably the question in this option that candidates found most difficult and whilst many could give correct differences between viruses and bacteria they seemed to have little knowledge about the action of antiviral drugs or the reasons why viral infections are more difficult to treat.
During drug development, trials are conducted to determine the therapeutic window.
Explain the meaning of the term therapeutic window and discuss its importance in drug administration.
Markscheme
if concentration is too high it will have harmful side effects / determination of the lethal dose (to 50% of the population) / OWTTE;
if concentration is too low it has little or no beneficial effect / determination of the effective dose / dose which has a noticeable effect (on 50% of the population) / OWTTE;
therapeutic window is the range between these doses / range over which a drug can be safely administered / ratio of \({\text{L}}{{\text{D}}_{50}}\): \({\text{E}}{{\text{D}}_{50}}\);
for minor ailments a larger window is desirable, for serious conditions a smaller window may be acceptable / OWTTE;
(therapeutic window) depends on the drug/age/sex/weight;
a small therapeutic window means that an overdose is a high risk / OWTTE;
Examiners report
Many candidates clearly had an understanding of therapeutic window and placebos but failed to score full marks as insufficient details were given.
Drugs are most commonly taken orally.
Drugs are most commonly taken orally.
(a) State one advantage and one disadvantage of this.
Advantage:
Disadvantage:
List three methods, other than orally, that can be used for the administration of a drug.
Markscheme
Advantage:
easily taken/convenient / no specialist equipment needed;
Disadvantage:
stomach acid reacts with drugs / slow effect / only small fraction of drug absorbed / vomiting / requires conscious patient / harm digestive system/can cause stomach bleeding;
inhalation
parenteral / by injection / intravenous / intramuscular / subcutaneous
rectal
skin patches
eye/ear/nose drops
topical
Award [2] for all 3 correct, [1] for 2 correct, [0] for 1 correct.
Examiners report
In general, this question was well answered.
In general, this question was well answered.
Acquired immune deficiency syndrome (AIDS), a disease caused by the HIV virus, has resulted in millions of deaths worldwide since it was first identified in 1981.
Explain why viral infections, such as AIDS, are generally more difficult to treat than bacterial infections.
Markscheme
viruses mutate quickly so adapt to drugs/evade immune system response / OWTTE;
bacteria are more complex and thus can be targeted in more ways / viruses lack sub-units/functions targeted by antibacterials / OWTTE;
different types of bacteria employ similar metabolic processes and thus can be targeted by common antibacterials / each kind of virus usually requires special drugs/approaches / OWTTE;
bacteria can be killed by interfering with cell wall production without attacking host cell / difficult to attack the virus without attacking host cell;
Examiners report
Candidates tended to write a lot in this answer – and it was not very well structured. They needed to keep the focus of their answer on the differences between viral and bacterial infections. It may be that the examiners’ intention to help the candidates by setting the question in context turned out to be more of a hindrance. Candidates spent far too long discussing the specifics of HIV rather than answering the question required.
Excess stomach acid can be counteracted by a range of medications.
An antacid tablet contains 680 mg of calcium carbonate, CaCO3, and 80 mg of magnesium carbonate, MgCO3.
State the equation for the reaction of magnesium carbonate with hydrochloric acid.
Determine the amount, in mol, of hydrochloric acid neutralized by one antacid tablet.
Explain how omeprazole (Prilosec) reduces stomach acidity.
Markscheme
MgCO3(s) + 2HCl(aq) → CO2(g) + H2O(l) + MgCl2(aq)
Do not accept “H2CO3”.
[1 mark]
n(HCl) = 2 n(CaCO3) + 2 n(MgCO3)
OR
n(HCl) = \(\frac{{2 \times 0.680\;\ll {\text{g}}\gg }}{{100.09\;\ll {\text{g mo}}{{\text{l}}^{ - 1}}\gg }} + \frac{{2 \times 0.080\;\ll {\text{g}}\gg }}{{84.32\;\ll {\text{g mo}}{{\text{l}}^{ - 1}}\gg }}\)
«n(HCl) = 0.0136 mol + 0.0019 mol =» 0.016 «mol»
Award [2] for correct final answer.
Award [1 max] for correctly calculating amount of acid neutralized by just CaCO3 (0.014 «mol») or MgCO3 (0.002 «mol»).
[2 marks]
inhibits the secretion of stomach acid/H+
«active metabolites» bind «irreversibly» to «receptors of the» proton pump
Accept “PPI/proton pump inhibitor”.
Do not award mark for “binds to H2/histamine receptors”. (Ranitidine mode of action.)
Accept “H+/K+ ATPase” for “proton pump”.
[2 marks]
Examiners report
Excess acid in the stomach is often treated with calcium carbonate.
Formulate a chemical equation for the neutralization of stomach acid with calcium carbonate.
Calculate the amount, in mol, of stomach acid neutralized by an antacid tablet containing 0.750 g calcium carbonate.
Explain how omeprazole (Prilosec) regulates pH in the stomach.
Markscheme
2HCl(aq) + CaCO3(s) → H2O(l) + CO2(g) + CaCl2(aq)
Accept ionic equation:
2H+(aq) + CO32–(aq) → CO2(g) + H2O(l)
[1 mark]
«\(\frac{{0.750 \times 2}}{{100.09}}\) =» 0.0150 «mol HCl»
[1 mark]
inhibits the secretion of stomach acid/H+
«active metabolites» bind «irreversibly» to «receptors of the» proton pump
Do not accept “hydrogen/H/H2” for “H+”.
Accept “PPI/proton pump inhibitor” for M2.
Accept “H+/K+ ATPase” for “proton pump”.
[2 marks]
Examiners report
The walls of the human stomach contain cells that produce gastric juices. Sodium hydrogencarbonate is an antacid often used to neutralize excess acid.
State an equation for the reaction of stomach acid with this antacid.
Calcium carbonate can also neutralize stomach acid. The same amounts (in moles) of sodium hydrogencarbonate and calcium carbonate are available. Deduce which antacid will neutralize the greater amount of acid present in the stomach and explain your reasoning.
Markscheme
\({\text{NaHC}}{{\text{O}}_{\text{3}}} + {\text{HCl}} \to {\text{NaCl}} + {{\text{H}}_{\text{2}}}{\text{O}} + {\text{C}}{{\text{O}}_{\text{2}}}/{\text{HCO}}_3^-- + {{\text{H}}^ + } \to {{\text{H}}_{\text{2}}}{\text{O}} + {\text{C}}{{\text{O}}_{\text{2}}}\);
States not required for mark.
\({\text{CaC}}{{\text{O}}_{\text{3}}}\);
1 mol \({\text{NaHC}}{{\text{O}}_{\text{3}}}\) neutralizes 1 mol HCl and 1 mol \({\text{CaC}}{{\text{O}}_{\text{3}}}\) neutralizes 2 mol HCl / \({\text{CaC}}{{\text{O}}_{\text{3}}} + {\text{2HCl}} \to {\text{CaC}}{{\text{l}}_{\text{2}}} + {{\text{H}}_{\text{2}}}{\text{O}} + {\text{C}}{{\text{O}}_{\text{2}}}\);
Examiners report
Most candidates gave correct equations.
Most candidates identified \({\text{CaC}}{{\text{O}}_{\text{3}}}\) as the antiacid that neutralizes more acid.
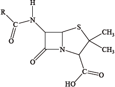
Antibacterials are drugs that kill or inhibit the growth of microorganisms that cause infectious diseases. The general structure of penicillin, an antibacterial, is given below.

With reference to the structure above, state what the letter R represents and discuss how penicillins can be made more resistant to the penicillinase enzyme.
Describe and explain one effect of overprescription of antibacterials.
Markscheme
side chain/alkyl group;
Accept hydrocarbon chain.
modify side chain / use different R groups;
Ignore reference to functional groups.
may wipe-out helpful/useful/beneficial bacteria (in the alimentary canal);
destroyed bacteria may be replaced by more harmful bacteria;
leads to resistance / makes penicillin less effective;
resistant bacteria grow / pass on their immunity/mutation/trait to succeeding generations / OWTTE;
Examiners report
Most candidates knew that R is a side chain, although some identified it as a functional group.
Some candidates got confused with over-prescription of antibiotics and answered that the body becomes resistant or dependent.
Medicines have a variety of different effects on the body and act at the molecular level.
Morphine and codeine are strong analgesics. Their structures are given in section 37 of the data booklet.
Dose response curves are determined for each drug.

Outline the significance of range “a”.
Suggest the type of reaction used to convert morphine to codeine.
State and explain the action of opiates as painkillers.
Markscheme
«measures» therapeutic window/margin «of a drug»
OR
range of doses that produce a therapeutic effect without causing toxic effects
Accept “difference between ED50/minimum effective/therapeutic dose «for 50% of population» AND TD50 /toxic dose «for 50% of population»”.
Do not accept “therapeutic index”.
Do not accept “lethal/fatal dose” as this is not LD50.
[1 mark]
«nucleophilic» substitution/SN
Accept “methylation”.
[1 mark]
work directly on opioid/pain receptors «in brain»
suppress pain impulses in brain/CNS
resemble endorphins/enkephalins/natural chemical painkillers «produced in the brain and spinal cord»
Do not award mark for “resemble hormones”.
[2 marks]
Examiners report
Sodium hydrogencarbonate, NaHCO3, and magnesium hydroxide, Mg(OH)2, can both be used as antacids.
(i) Give the equations for the reactions of sodium hydrogencarbonate and magnesium hydroxide with hydrochloric acid.
(ii) Compare the effectiveness of 1.00 g of sodium hydrogencarbonate to 0.50 g of magnesium hydroxide in combating acidity in the stomach.
Markscheme
(i) \({\text{NaHC}}{{\text{O}}_{\text{3}}} + {\text{HCl}} \to {\text{NaCl}} + {{\text{H}}_{\text{2}}}{\text{O}} + {\text{C}}{{\text{O}}_{\text{2}}}\);
Accept H2 CO3 instead of H2O and CO2.
\({\text{Mg(OH}}{{\text{)}}_2} + {\text{2HCl}} \to {\text{MgC}}{{\text{l}}_2} + {\text{2}}{{\text{H}}_2}{\text{O}}\);
(ii) \({\text{n(NaHC}}{{\text{O}}_{\text{3}}}{\text{)}} = 1.19 \times {10^{ - 2}}{\text{ mol}}\);
\({\text{n}}\left( {{\text{Mg(OH}}{{\text{)}}_{\text{2}}}} \right) = 8.37 \times {10^{ - 3}}{\text{ mol}}\);
\({\text{Mg(OH}}{{\text{)}}_{\text{2}}}\) reacts with twice the number of moles of acid / is more effective than \({\text{NaHC}}{{\text{O}}_{\text{3}}}\) / OWTTE;
Examiners report
Most candidates successfully wrote balanced equations for antacid reactions in part (a), although a few didn’t know the products, some didn’t balance the equations and many candidates incorrectly wrote the formula for magnesium chloride as MgCl. This led to difficulties in comparing the effectiveness of two antacids, with several candidates not even attempting to answer the question. Some candidates interpreted the coefficients in the equations as representing the mass ratio rather than a mole ratio.
State two differences in structure between viruses and bacteria.
Describe two ways in which antiviral drugs work.
Discuss two difficulties associated with the development of drugs for the effective treatment of AIDS.
Markscheme
viruses do not have cell/cellular structure;
viruses do not have nucleus;
viruses do not have cell wall;
viruses do not have cytoplasm;
Accept opposite statements for bacteria.
stops virus replication;
Accept reproduction / multiplication.
becomes part of DNA of virus / alters virus DNA / blocks polymerase which builds DNA;
changes the cell membrane that inhibits the entry of virus into the cells;
prevents viruses from leaving the cell (after reproducing);
HIV mutates (rapidly);
Accept AIDS mutates
HIV metabolism linked to that of host cell / HIV uses host cell / drugs harm host cell as well as HIV / difficult to target HIV without damaging host cell;
HIV destroys helper cells of the immune system;
Examiners report
Many students failed to note that the first part of the question referred to structural differences between viruses and bacteria, rather than more general differences. The mode of action of antiviral drugs appeared to be poorly understood and answers were often very vaguely expressed, as were answers to why effective AIDS treatment is such a problem.
Many students failed to note that the first part of the question referred to structural differences between viruses and bacteria, rather than more general differences. The mode of action of antiviral drugs appeared to be poorly understood and answers were often very vaguely expressed, as were answers to why effective AIDS treatment is such a problem.
Many students failed to note that the first part of the question referred to structural differences between viruses and bacteria, rather than more general differences. The mode of action of antiviral drugs appeared to be poorly understood and answers were often very vaguely expressed, as were answers to why effective AIDS treatment is such a problem.
Ethanol, a depressant, is sufficiently volatile to pass into the lungs from the bloodstream. The roadside breathalyser test uses acidified potassium dichromate(VI) which reacts with any ethanol present in the breath and converts it to ethanoic acid.
State the oxidation and reduction half-equations that occur in the breathalyser when ethanol is present in the breath.
Oxidation:
Reduction:
Describe the colour change that occurs to the acidified dichromate(VI) if ethanol is present in the breath.
Police use the intoximeter, an infrared spectrophotometer to confirm a roadside breathalyser test. Explain how the amount of ethanol is determined from the infrared spectrum.
Markscheme
Oxidation:
\({{\text{C}}_{\text{2}}}{{\text{H}}_{\text{5}}}{\text{OH}} + {{\text{H}}_{\text{2}}}{\text{O}} \to {\text{C}}{{\text{H}}_{\text{3}}}{\text{COOH}} + {\text{4}}{{\text{H}}^ + } + {\text{4}}{{\text{e}}^ - }\);
Reduction:
\({\text{C}}{{\text{r}}_{\text{2}}}{\text{O}}_7^{2 - } + {\text{14}}{{\text{H}}^ + } + {\text{6}}{{\text{e}}^ - } \to {\text{2C}}{{\text{r}}^{3 + }} + {\text{7}}{{\text{H}}_{\text{2}}}{\text{O}}\);
Accept balanced equation with molecular formulas.
If both equations are wrong, award [1] for C2H5OH \( \to \) CH3COOH and Cr2O72– \( \to \) 2Cr3+.
If correct equations are used but oxidation and reduction reversed, award [1].
orange to green;
peak at \({\text{2950 c}}{{\text{m}}^{ - 1}}\) / absorption occurs due to C–H bonds in ethanol;
No mark for absorption due to just ethanol, or O–H bond in ethanol (water vapour in breath also contributes).
intensity / height of peak / absorption / amount of transmittance depends on amount of ethanol / compare absorption to standard / reference/control sample / sample containing no alcohol;
Examiners report
Very few candidates gave correct equations for oxidation and reduction in a breath analyzer.
Most candidates described correctly the color change.
The way how a breath analyzer works seemed clear for most candidates.
Antibiotics treat infections by stopping the growth of bacteria or destroying them.
Identify the side-chain by drawing a circle around the side-chain in the structure of benzyl penicillin given below (the structure of penicillin is given in Table 20 of the Data Booklet).
Discuss two problems associated with the overprescription of penicillin and explain how these are overcome.
Markscheme

No mark if circle includes CO or just O.
Award [1] if it includes 7 C atoms but misses out on attached H atoms.
overprescription can lead to allergic reaction;
may wipe-out harmless/helpful/beneficial bacteria (in the alimentary canal)/destroyed bacteria may be replaced by more harmful bacteria;
(may pass on genetic) resistance/immunity;
[1] each for any two.
modify R group/side chain to change penicillin effectiveness / form penicillin that is more resistant to penicillinase enzyme;
Examiners report
Many candidates scored the mark in (a) by correctly identifying the side-chain, but a surprising number of candidates only circled the aromatic ring without including the \({\text{C}}{{\text{H}}_{\text{2}}}\). The general structure of penicillin is given in Table 20 of the Data Booklet, so if all candidates referred to the table they should have scored the mark.
Many candidates did not recognise the loss of beneficial bacteria in the problems associated with over prescription of penicillin. A surprising number were not able to explain the modification of the side chain/R group to change the effectiveness of penicillin.
Antiviral medications such as zanamivir (Relenza) are commonly available for consumer use.
Identify the names of two functional groups present in zanamivir using section 37 of the data booklet.
Distinguish between bacteria and viruses.
Markscheme
Any two of:
hydroxyl
carboxyl/carbonyl
ether
amido/carbonyl
Accept “alcohol/hydroxy” for “hydroxyl”, “carboxylic acid” for “carboxyl” and “amide/carboxamide” for “amido”.
Accept “amino/amine” OR “imine/imino” but these are not correct as they are part of the guanidino group.
Accept “alkenyl/alkene/carbon to carbon double bond” but not “C=C” OR “carbon double bond”.
Accept “carbonyl” only once.
Accept “heterocyclic ring” for “ether”.
[2 marks]
Any two of:
bacteria perform living functions «on their own» AND viruses do not «without host cell»
bacteria have cell walls AND viruses do not
OR
bacteria do not have a capsid AND viruses do
bacteria larger than viruses
bacteria reproduce by fission/budding AND viruses reproduce within a living host cell
Accept examples of living functionsexcretion, reproduction etc for M1.
Accept “bacteria have flagella/cytoplasm/ribosome AND virus can have head/protein tail/double stranded RNA/single stranded DNA”.
Accept other specific structural differences for M2.
Accept “asexual reproduction for bacteria” for M4.
[2 marks]
Examiners report
The discovery of penicillin by Alexander Fleming in 1928 is often given as an example of serendipity in science.
Explain how penicillin works and why it is necessary to continue to develop new forms of penicillin with modified side chains.
Markscheme
Two of these for first two marks:
interferes with enzymes/chemicals that bacteria need to make (normal) cell walls / interferes with cell wall formation (in bacteria);
osmotic pressure causes (weakened) cell wall to break/burst / water enters cell causing it to burst / OWTTE;
\(\beta \)-lactam ring is strained/reactive;
Required for final mark:
bacteria become resistant to penicillins/produce the enzyme penicillinase / OWTTE
Examiners report
In (c) many candidates gave detailed descriptions of the interference of penicillin in the formation of cell walls, but it was not rare to see this connected with the bursting of the cell or the statement that this led to increased osmotic pressure without taking water into consideration. It was rather uncommon to find answers including \(\beta \)-lactam ring‘s reactivity. The vast majority of candidates were aware of problems related to bacteria becoming resistant.
Dyspepsia, commonly known as indigestion, is due to excess acid in the stomach and can be treated using antacids.
State the name of the acid found in the gastric juices of the stomach.
Two examples of antacids are aluminium hydroxide and calcium carbonate. State the equations to show the action of each antacid.
Markscheme
hydrochloric acid;
\({\text{Al(OH}}{{\text{)}}_{\text{3}}} + {\text{3HCl}} \to {\text{AlC}}{{\text{l}}_{\text{3}}} + {\text{3}}{{\text{H}}_{\text{2}}}{\text{O}}\);
\({\text{CaC}}{{\text{O}}_3} + {\text{2HCl}} \to {\text{CaC}}{{\text{l}}_2} + {\text{C}}{{\text{O}}_2} + {{\text{H}}_2}{\text{O}}\);
Ignore state symbols.
Award [1 max] for correct reactants and products in both equations if equations are not balanced.
Examiners report
The vast majority scored the mark in (a), but a small number of candidates gave the formula for hydrochloric acid rather than writing the name.
In (b) many correct answers were given but it was surprising to see that some candidates did not know the correct chemical formulas and how to balance equations. In some cases candidates wrote an equation for the reaction between aluminium hydroxide and calcium carbonate.
Creating a new pharmaceutical product is a long and complex process. Outline the main stages of this process in the correct order.
There are various ways to administer drugs to a patient. One of the common methods, parenteral, is also known as injection. State and describe two other methods of administering drugs.
The efficiency of certain drugs is strongly dependent on the frequency and regularity of their administration. Explain the importance of patient compliance when the patient is treated with antibacterials.
Markscheme
drug design/discovery/screening/identifying lead compound;
preparation of analogues through combinatorial chemistry;
characterization of the new compound / in vitro testing / drug formulation/delivery/stability studies;
pre-clinical (toxicology and pharmacokinetics) tests / tests on animals/bacteria/cell cultures / LD50 / OWTTE;
clinical tests/tests on humans;
ED50 to show improvements over existing drugs / OWTTE;
Penalize for incorrect order once only.
oral – by mouth / swallowing pills/powders / drinking liquids/mixtures / OWTTE;
inhalation – administering drugs into respiratory tract / inhaling gases/vapours/sprays/powders;
rectal – introducing drugs into the rectum/colon via the anus / using suppositories/enemas;
transdermal – diffusion through the skin/skin patches/ointments/therapeutic baths;
Accept other methods/variations with appropriate descriptions.
Award [1 max] if only two correct names or two correct descriptions are given.
irregular/interrupted treatment allows more bacteria to survive (and mutate) / failure to complete full course / OWTTE;
surviving bacteria develop/pass on resistance (to the drug);
Do not accept superbugs.
Examiners report
Part (a) was generally well answered although a lot of candidates seem to think that ED50 is established on animals and a few, even more worryingly, linked LD50 with human trials!
In part (b), descriptions were often missing but in (c) most understood the importance of frequency and regularity of drug administration.
In part (b), descriptions were often missing but in (c) most understood the importance of frequency and regularity of drug administration.
Antiviral drugs are a major research focus.
Oseltamivir (Tamiflu) and zanamivir (Relenza) are used against flu viruses. Explain how these drugs function.
Shikimic acid, the precursor for oseltamivir (Tamiflu), was originally extracted from star anise, and is now produced using genetically modified E. coli bacteria.
Suggest one difficulty associated with synthesizing oseltamivir (Tamiflu) from star anise.
Markscheme
blocks/inhibits neuraminidase/NA/«viral» enzyme which allows viruses to pass through cell membrane
prevent virus from leaving/escaping host cell «thus it cannot infect other cells»
[2 marks]
Any one of:
limited supply of star anise/plant
«star anise» takes time to grow
time-consuming/multi-step extraction
low concentration in plan
Accept “low yield for extraction/conversion” OR “requires environmentally damaging solvents”.
[1 mark]
Examiners report
AIDS (acquired immune deficiency syndrome) has resulted in millions of deaths worldwide since it was first recorded in 1981. The control and treatment of HIV is made worse by the high price of anti-retroviral agents and sociocultural issues. Discuss one sociocultural difficulty facing society today associated with solving this global problem.
Markscheme

Award [1] for identification of sociocultural issue.
Award [1] each for any two valid points related to the chosen sociocultural issue.
Do not accept contraception for condom use.
Apply OWTTE throughout.
Examiners report
This part of the question proved very challenging to most candidates. Many journalistic responses were given here also. Candidates struggled to provide a sociocultural difficulty associated with AIDS and found it difficult to articulate a coherent response. However, OWTTE allowed candidates to score some marks.
Many common illnesses are caused by viral infections.
Acyclovir is an antiviral drug used to treat herpes infections. Outline two ways in which antiviral drugs work.
Discuss two difficulties associated with the development of drugs for the effective treatment of AIDS.
Markscheme
alter cell’s genetic material;
(changes cell membrane so that it) inhibits virus entry/binding to cell;
prevents virus from leaving cell (after reproduction);
becomes part of DNA of virus / alters virus / blocks enzyme (polymerase) which builds DNA;
prevents virus from using cell to multiply/reproduce/replicate;
Do not accept “blocks enzyme activity within host cell / OWTTE”.
HIV mutates (rapidly) / OWTTE;
Do not accept “AIDS mutates” without mention of the virus.
HIV destroys (T-)helper cells/white blood cells/lymphocytes / HIV attacks immune system;
Penalize the use of “AIDS” for “HIV” once only.
Do not accept general answers based on “cost of drugs” or “cost of development”.
Examiners report
More than half of the candidates showed a good understanding of how antiviral drugs work.
Most candidates talked about the rapid mutation of viruses, however, only a few talked about viruses destroying T-helper cells as a difficulty associated with the development of drugs for the treatment of AIDS. A number of candidates discussed the high cost of such drugs that was irrelevant to the question. Some candidates confused AIDS with HIV.
The therapeutic window is used as a measure of the safety of a drug. Define the term therapeutic window.
Markscheme
range of dosages/concentrations of drug able to treat disease successfully staying within safety limit/between therapeutic and toxic levels / OWTTE;
Accept LD50 over ED50.
Examiners report
This was answered well although few recognized the amide group in (a) (ii) and the therapeutic window was a little shaky. Many defined the therapeutic index which is not quite the same thing.
Penicillins and aspirin are important medicines.
Describe how penicillin combats bacterial infections.
State how penicillins may be modified to increase their effectiveness.
State the type of reaction used to synthesize aspirin from salicylic acid.
Explain why aspirin is not stored in a hot, humid location.
Markscheme
«irreversibly» binds/bonds to enzyme/transpeptidase
OR
inhibits enzyme/transpeptidase «in bacteria» that produces cell walls
OR
prevents cross-linking of bacterial cell walls
cells absorb water AND burst
OR
cells cannot reproduce
[2 marks]
modify side chain
[1 mark]
condensation
OR
esterification
OR
nucleophilic substitution/nucleophilic displacement/SN2
Do not accept just “substitution/displacement”.
[1 mark]
water causes hydrolysis
OR
aspirin reacts with water
heat increases the rate of hydrolysis
OR
heat increases the rate of the reaction with water
Accept “aspirin will convert into salicylic/ethanoic acid”.
Do not accept “aspirin dissolves in water” OR “aspirin absorbs water/is hygroscopic”.
[2 marks]
Examiners report
Drug synthesis often involves solvents.
Identify a common hazardous solvent and a Green solvent that could replace it.
Markscheme
Hazardous solvent:
Any one of:
methanal/formaldehyde
methanol
chlorinated solvent/carbon tetrachloride/methylene chloride/dichloromethane
diethyl ether/ethoxyethane
benzene
OR
methyl benzene/toluene
OR
«1,2/1,3/1,4» dimethylbenzene/«ortho/o-/meta/m-/para/p-» xylene
Green solvent:
Any one of:
water
«supercritical/liquid» carbon dioxide/supercritical fluids
ethanol «only if replacing a hazardous solvent»
propan-2-ol/2-propanol/isopropanol «only if replacing a hazardous solvent»
propanone/acetone «only if replacing a hazardous solvent»
ethyl ethanoate/ethyl acetate «only if replacing a hazardous solvent»
organic carbonates/dimethyl carbonate/diethyl carbonate/ethylene
carbonate/propylene carbonate
ionic liquids
fluorous solvents
Accept correct names (either IUPAC or generic) or formulas.
Do not accept inorganic acids such as HCl, H2SO4, etc.
Accept any specific chlorinated solvent.
Accept other hazardous solvents.
Do not accept any solvent given as both hazardous and green.
Award [2] for combination “Hazardous solvent: dimethylformamide/DMF/N,N-dimethylmethanamide” AND “Green solvent: methanol «only if replacing a hazardous solvent»”.
Accept other green solvents but not “solvents from biomass/food waste”.
[2 marks]
Examiners report
A commonly used mild analgesic is aspirin, 2-acetoxybenzoic acid, whose structure is given in Table 20 of the Data Booklet.
One form of soluble aspirin is \({\text{Ca(}}{{\text{C}}_{\text{9}}}{{\text{H}}_{\text{7}}}{{\text{O}}_{\text{4}}}{{\text{)}}_{\text{2}}}\).
Morphine, codeine and diamorphine (heroin) are examples of strong analgesics. Their structures are given in Table 20 of the Data Booklet.
Describe how mild analgesics function.
(i) Outline why this substance is more soluble than standard aspirin in water.
(ii) Deduce the balanced ionic equation for the reaction that occurs between soluble aspirin and the acid in the stomach.
(i) Deduce two named functional groups present in both aspirin and diamorphine.
(ii) Deduce one named functional group present in morphine but not in diamorphine.
(iii) State two short-term advantages and two long-term disadvantages of using codeine as a strong analgesic.
Short-term advantages:
Long-term disadvantages:
Markscheme
intercepts pain stimulus at source / inhibits release of substances/prostaglandins that cause pain/swelling/fever;
(i) ionic compound (which dissociates);
(ii) \({{\text{C}}_9}{{\text{H}}_7}{\text{O}}_4^ - {\text{(aq)}} + {{\text{H}}^ + }{\text{(aq)}} \to {{\text{C}}_9}{{\text{H}}_8}{{\text{O}}_4}{\text{(aq)}}\);
Ignore state symbols
Ignore arrow.
(i) phenyl/benzene ring;
Do not allow just benzene or arene or the formula C6H6.
ester;
Do not allow –COO– or carbonyl/CO.
(ii) hydroxyl / phenol;
Allow alcohol/hydroxy but not hydroxide.
Do not allow –OH.
(iii) Award [1] for any two short-term advantages from:
strong/powerful (pain reliever);
fast-acting / effective;
has a wide safety margin;
can quickly stop diarrhoea;
can be used in cough mixtures/medicines / antitussive properties;
works effectively with paracetamol/acetaminophen;
Award [1] for any two long-term disadvantages from:
(regular use) can lead to addiction/dependence/withdrawal symptoms;
tolerance can lead to toxic dosages;
can result in depression / apathy;
can cause mental health problems;
can result in constipation;
can result in sterility/sexually related problems;
memory loss;
serious health risk to babies who are breastfed;
Award [1 max] for one correct advantage and one correct disadvantage.
Examiners report
While many candidates scored the mark, some candidates offered vague and/or inaccurate descriptions of how mild analgesics functioned.
(i) Few candidates scored here. Very often the answers would attribute the solubility to the presence of calcium.
(ii) A highly discriminating question. A substantial number of candidates ignored the request for an ionic equation. Those who attempted one mostly failed to give the correct products.
(i) Many correct answers. A few candidates stated “benzene” without “ring” which did not score the mark. Another mistake was using “esther” where it was not clear if “ester” or “ether” was meant.
(ii) A well answered question.
(iii) A good number of candidates scored at least one mark, often as a result of stating one short-term and one long-term advantage of using codeine.
The structures of oseltamivir (Tamiflu) and zanamivir (Relenza) are given in section 37 of the data booklet.
Compare and contrast the structures of oseltamivir and zanamivir, stating the names of functional groups.
Deduce the wavenumber of one absorbance seen in the IR spectrum of only one of the compounds, using section 26 of the data booklet.
Suggest one ethical consideration faced by medical researchers when developing medications.
Markscheme
One similarity:
both contain amido «group»
One difference:
oseltamivir contains ester «group» AND zanamivir does not
OR
oseltamivir contains amino «group» AND zanamivir does not «but contains a guanidino group»
OR
zanamivir contains carboxyl «group» AND oseltamivir does not
OR
zanamivir contains «several» hydroxyl «groups» AND oseltamivir does not
OR
oseltamivir contains ester «group» AND zanamivir contains carboxyl «group»
OR
oseltamivir contains ester «group» AND zanamivir contains «several» hydroxyl «groups»
Accept “both contain ether «group»” OR “both contain alkene/alkenyl «group»” OR “both contain carbonyl «group»” OR “both contain amino/amine «group»”. Latter cannot be given in combination with second difference alternative with respect to amino group.
Accept “amide/carboxamide/carbamoyl” for “amido”.
Accept “amine” for “amino”.
Accept “carboxylic acid” for “carboxyl”.
Accept “hydroxy/alcohol” for “hydroxyl”, but not “hydroxide”.
[2 marks]
1050–1410
OR
1620–1680
OR
1700–1750
OR
2500–3000
OR
3200–3600
OR
2850–3090
OR
3300–3500 «cm–1»
[1 mark]
«negative» side-effects of medication on patient/volunteers
OR
effects on environment «from all materials used and produced»
OR
potential for abuse
OR
drugs may be developed that are contrary to some religious doctrines
OR
animal testing
OR
risk to benefit ratio
OR
appropriate consent of patient volunteers
[1 mark]
Examiners report
Maalox® manufactures several different types of antacid. Maalox® Extra Strength is a suspension. One teaspoon (\({\text{5.00 c}}{{\text{m}}^{\text{3}}}\)) contains 400 mg of magnesium hydroxide, \({\text{Mg(OH}}{{\text{)}}_{\text{2}}}\), 306 mg of aluminium hydroxide, \({\text{Al(OH}}{{\text{)}}_{\text{3}}}\), and 40.0 mg of simethicone. Maalox® Extra Strength with Anti-gas comes in tablet form. Each tablet contains 1000 mg of calcium carbonate, \({\text{CaC}}{{\text{O}}_{\text{3}}}\), and 60.0 mg of simethicone.
Stomach acid approximates to \(1.00 \times {10^{ - 2}}{\text{ mol}}\,{\text{d}}{{\text{m}}^{ - 3}}\) hydrochloric acid. Assuming that simethicone does not react with acid, determine the volume, in \({\text{d}}{{\text{m}}^{\text{3}}}\), of stomach acid neutralized by:
State the equations for the reactions of magnesium hydroxide, aluminium hydroxide and calcium carbonate with hydrochloric acid.
Magnesium hydroxide:
Aluminium hydroxide:
Calcium carbonate:
(i) one teaspoon (\({\text{5.00 c}}{{\text{m}}^{\text{3}}}\)) of Maalox® Extra Strength.
(ii) one tablet of Maalox® Extra Strength with Anti-gas.
Markscheme
\({\text{Mg(OH}}{{\text{)}}_{\text{2}}} + {\text{2HCl}} \to {\text{MgC}}{{\text{l}}_{\text{2}}} + {\text{2}}{{\text{H}}_{\text{2}}}{\text{O}}\);
\({\text{Al(OH}}{{\text{)}}_3} + {\text{3HCl}} \to {\text{AlC}}{{\text{l}}_3} + {\text{3}}{{\text{H}}_2}{\text{O}}\);
\({\text{CaC}}{{\text{O}}_3} + {\text{2HCl}} \to {\text{CaC}}{{\text{l}}_2} + {{\text{H}}_2}{\text{O}} + {\text{C}}{{\text{O}}_2}\);
Accept H2CO3 for H2O and CO2.
(i) amount of \({\text{Mg(OH}}{{\text{)}}_2} = \left( {\frac{{0.400}}{{(24.31 + 32.00 + 2.02)}} = \frac{{0.400}}{{58.33}} = } \right){\text{ }}6.86 \times {10^{ - 3}}{\text{ (mol)}}\)
and amount of \({\text{Al(OH}}{{\text{)}}_3} = \left( {\frac{{0.306}}{{(26.92 + 48.00 + 3.03)}} = \frac{{0.306}}{{77.95}} = } \right){\text{ }}3.93 \times {10^{ - 3}}{\text{ (mol)}}\);
amount of HCl reacting \( = (2 \times 6.86 \times {10^{ - 3}}) + (3 \times 3.93 \times {10^{ - 3}}) = 2.55 \times {10^{ - 2}}{\text{ (mol)}}\) so volume of \(1.00 \times {10^{ - 2}}{\text{ HCl}} = 2.55{\text{ }}({\text{d}}{{\text{m}}^3})\);
No ECF from (a) if formulas of Mg(OH)2 or Al(OH)3 are incorrect.
Allow integer values for atomic masses.
Award [2] for correct final answer.
(ii) amount of \({\text{CaC}}{{\text{O}}_3} = \left( {\frac{{1.000}}{{(40.08 + 12.01 + 48.00)}} = \frac{{1.000}}{{100.09}} = } \right){\text{ }}9.99 \times {10^{ - 3}}{\text{ (mol)}}\);
amount of HCl reacting \( = (2 \times 9.99 \times {10^{ - 3}}) = 2.00 \times {10^{ - 2}}{\text{ (mol)}}\) so volume of \(1.00 \times {10^{ - 2}}{\text{ HCl}} = 2.00{\text{ }}({\text{d}}{{\text{m}}^3})\);
Allow integer values for atomic masses.
Award [2] for correct final answer.
Penalize incorrect answer based on same units mistake once only in 12 (b) (i) and (ii).
Examiners report
Majority of the candidates were able to provide correct balanced equations for part (a) and score the three marks. Many were able to score one mark for completing the calculations in part (b)(i). The most common errors were using the incorrect value for the volume in step 2 or deducing the incorrect amount of HCl reacting. Most candidates performed well on part (b)(ii). For part (c) candidates lost the mark for stating it prevents flatulence.
Majority of the candidates were able to provide correct balanced equations for part (a) and score the three marks. Many were able to score one mark for completing the calculations in part (b)(i). The most common errors were using the incorrect value for the volume in step 2 or deducing the incorrect amount of HCl reacting. Most candidates performed well on part (b)(ii). For part (c) candidates lost the mark for stating it prevents flatulence.
Adults can produce approximately \({\text{2 d}}{{\text{m}}^{\text{3}}}\) of gastric juice daily in the stomach.
The pH of gastric juice is 1.5. Identify the compound responsible for its acidity and state whether it is a strong or weak acid.
Compound:
Strong or weak acid:
Antacid tablets are often taken for an upset stomach. Identify the reaction involved in this treatment and state the general ionic equation for this reaction type.
Type of reaction:
Ionic equation:
One active ingredient in a commercial brand of antacid tablets is a complex of aluminium hydroxide and sodium carbonate, dihydroxyaluminium sodium carbonate, \({\text{Al(OH}}{{\text{)}}_{\text{2}}}{\text{NaC}}{{\text{O}}_{\text{3}}}{\text{(s)}}\).
Deduce the balanced equation, including state symbols, for the reaction of \({\text{Al(OH}}{{\text{)}}_{\text{2}}}{\text{NaC}}{{\text{O}}_{\text{3}}}{\text{(s)}}\) with the acid present in gastric juice.
Markscheme
Compound:
hydrochloric acid/HCl;
Strong or weak acid:
strong (acid);
Type of reaction:
neutralization;
Accept acid-base.
Ionic equation:
\({{\text{H}}^ + }{\text{(aq)}} + {\text{O}}{{\text{H}}^ - }{\text{(aq)}} \to {{\text{H}}_2}{\text{O(l)}}/{\text{2}}{{\text{H}}^ + }{\text{(aq)}} + {\text{CO}}_3^{2 - }{\text{(aq)}} \to {{\text{H}}_2}{\text{O(l)}} + {\text{C}}{{\text{O}}_2}{\text{(g)}}\) /
\({{\text{H}}^ + }{\text{(aq)}} + {\text{HCO}}_3^ - {\text{(aq)}} \to {{\text{H}}_2}{\text{O(l)}} + {\text{C}}{{\text{O}}_2}{\text{(g)}}\);
Accept equations such as Mg(OH)2(s) + 2H+(aq) \( \to \) Mg2+(aq) + 2H2O(l).
Ignore state symbols.
H3O+ or H+ may be used in the equation.
Do not allow the inclusion of spectator ions.
\({\text{Al(OH}}{{\text{)}}_2}{\text{NaC}}{{\text{O}}_3}{\text{(s)}} + {\text{4HCl(aq)}} \to {\text{AlC}}{{\text{l}}_3}{\text{(aq)}} + {\text{NaCl(aq)}} + {\text{C}}{{\text{O}}_2}{\text{(g)}} + {\text{3}}{{\text{H}}_2}{\text{O(l)}}\) /
\({\text{Al(OH}}{{\text{)}}_2}{\text{NaC}}{{\text{O}}_3}{\text{(s)}} + {\text{4}}{{\text{H}}^ + }{\text{(aq)}} \to {\text{A}}{{\text{l}}^{3 + }}{\text{(aq)}} + {\text{N}}{{\text{a}}^ + }{\text{(aq)}} + {\text{C}}{{\text{O}}_2}{\text{(g)}} + {\text{3}}{{\text{H}}_2}{\text{O(l)}}\);
correct reactants and products;
correct state symbols and balanced;
M2 can only be awarded if M1 is correct.
Examiners report
Very well answered by most candidates recognizing the acid in the stomach as hydrochloric acid and that it is a strong acid.
Surprisingly only about half of the candidates recognized the reaction of antacids in the stomach as a neutralization reaction and only few candidates gave a correct ionic equation for the reaction.
This was a discriminating question. Only the strong candidates were able to identify the correct products scoring one mark, and very few were able to add the correct state symbols and balance the equation. Common mistakes included writing solid state symbols for the salt products and writing an incorrect formula of aluminium chloride such as \({\text{AlC}}{{\text{l}}_{\text{2}}}\). A number of candidates had aluminium hydroxide as a product.
The development of new and improved medications for the reduction and management of pain is an important part of 21st-century medicine.
Explain the way that mild and strong analgesics prevent pain.
Mild analgesics:
Strong analgesics:
The structure of morphine and diamorphine (heroin) are shown in Table 20 of the Data Booklet. State the name of the functional group present in diamorphine that is not present in morphine.
Discuss two advantages and two disadvantages of the medical use of morphine and its derivatives.
Advantages:
Disadvantages:
Markscheme
Mild analgesics:
mild analgesics work by intercepting pain stimulus at source;
suppress production of prostaglandins/pain sensitizing substances / OWTTE;
Strong analgesics:
strong analgesics work directly on opioid/pain receptors in brain;
suppress transmission of pain impulses in brain/CNS / OWTTE;
ester;
Accept alkanoate/ethanoate/acetoxy.
Advantages:
Award [1 max] for any two of:
strong pain relief / strong analgesic;
sedation / OWTTE;
treatment of diarrhoea;
relieve coughing;
Disadvantages:
Award [1 max] for any two of:
addiction;
tolerance;
dependence;
constipation;
depresses respiratory drive;
Accept “criminals/drug addicts might get access to strong analgesics intended for medical use” / OWTTE.
Award [1 max] if one advantage and one disadvantage are given.
Examiners report
Although the question on mild and strong analgesics, (a), is a question that has been asked previously a myriad of times, few surprisingly scored all four marks. Candidates occasionally discussed types of medication rather than mode of action. For mild analgesics many did not state the fact that these analgesics work by intercepting the pain stimulus at the source itself. The suppression of the production of prostaglandins often was not alluded to. For strong analgesics the most common mistake involved candidates not referring to opioid receptors in the brain.
(b) proved no problem for candidates though some stated incorrect functional groups or classes (alcohol and carboxylic acid were common incorrect answers). Please note that to prepare new candidates for the 2016 syllabus, the markscheme was later altered to include the correct naming of functional groups following IUPAC guidelines.
In (c), most candidates scored at least one mark. For the advantage few stated the fact that morphine is a strong analgesic.
Each capsule of Solpadol®, a commercial analgesic, contains 500 mg of paracetamol (acetaminophen) and 30 mg of codeine (in the form of codeine phosphate hemihydrate).
Diamorphine (heroin) is an even stronger painkiller than codeine. The structures of codeine and diamorphine are given in Table 20 of the Data Booklet. Discuss, in terms of named functional groups, how the structure of diamorphine differs from the structure of codeine.
A normal aspirin tablet taken to relieve pain contains about 300 mg of aspirin. Certain adults who are not in pain are recommended by doctors to take a smaller 75 mg dose of aspirin each day. State one reason for this recommendation.
Markscheme
codeine contains a hydroxyl group;
Allow alcohol/hydroxy but not hydroxide.
codeine contains one methoxy group/two ether groups;
Allow codeine contains one additional ether group but not codeine contains the ether group.
diamorphine contains ester/acetoxy/ethanoate group(s);
Names required not functional group formulas.
Allow acetyl group.
prevents (the recurrence of) heart attack/stroke / reduces ability of blood to clot;
Examiners report
Majority of the candidates were familiar with the mode of action of mild and strong analgesics in part (a) however, there was some inaccurate use of the terminology. There was some confusion about signal interception and transmitting signals. For example, some candidates talked about prostaglandins released at the source and reducing pain perception in the brain. Most candidates answered the part (b) correctly; a few did not use functional group names but used bonds or diagrams instead. Many candidates missed stating two ether groups and were not able to score the third mark. The majority of candidates stated correct advantages and disadvantages of paracetamol over aspirin in part (b). Part (c) was well answered by the majority of candidates; some gave the only reason as aspirin thins blood and lost the mark; almost all candidates were able to provide one reason for answer to part (d) correctly. Many candidates missed to identify both, codeine as a strong analgesic and addictive, and did not score the mark.
Majority of the candidates were familiar with the mode of action of mild and strong analgesics in part (a) however, there was some inaccurate use of the terminology. There was some confusion about signal interception and transmitting signals. For example, some candidates talked about prostaglandins released at the source and reducing pain perception in the brain. Most candidates answered the part (b) correctly; a few did not use functional group names but used bonds or diagrams instead. Many candidates missed stating two ether groups and were not able to score the third mark. The majority of candidates stated correct advantages and disadvantages of paracetamol over aspirin in part (b). Part (c) was well answered by the majority of candidates; some gave the only reason as aspirin thins blood and lost the mark; almost all candidates were able to provide one reason for answer to part (d) correctly. Many candidates missed to identify both, codeine as a strong analgesic and addictive, and did not score the mark.
Analgesics can be either mild or strong.
Morphine, codeine and diamorphine (heroin) are all examples of strong analgesics. Their structures are found in Table 20 of the Data Booklet.
Explain how mild and strong analgesics prevent pain.
Mild analgesics:
Strong analgesics:
State a reason why it is dangerous to use aspirin while consuming alcohol.
Deduce from the structures the names of two functional groups present in all three analgesics.
Deduce the name of one functional group present in diamorphine (heroin) but not in morphine or codeine.
Markscheme
Mild analgesics:
intercept pain stimulus at source / inhibit release of substances/prostaglandins that cause pain/swelling/fever / OWTTE;
Strong analgesics:
(temporarily) bond to receptor sites in brain / prevent transmission of pain impulses in central nervous system/CNS / OWTTE;
Award [1 max] if states that mild analgesics act at source and strong analgesics act at brain/CNS.
increased risk of stomach bleeding;
Any two for [1]
amine
benzene ring
alkene
ether
Allow benzene or phenyl (group) but not arene.
ester;
Names of functional groups must be stated for both marks in part (d).
Do not apply ECF in (d) if formulas (for example, C=C) given instead of names.
Examiners report
The mode of action of mild and strong analgesics in part (a) was well known by most candidates; however, the terminology used was sometimes inaccurate and reflected confusion. For example, some candidates talked about intercepting pain receptors on site of injury for mild analgesics.
Part (c) was well answered by the majority of candidates (increased risk of stomach bleeding when alcohol is consumed with aspirin), and two-thirds of the candidates identified the functional groups correctly in part (d). A common mistake was using the term esther which was not clear whether it was meant to indicate ether or ester.
Part (c) was well answered by the majority of candidates (increased risk of stomach bleeding when alcohol is consumed with aspirin), and two-thirds of the candidates identified the functional groups correctly in part (d). A common mistake was using the term esther which was not clear whether it was meant to indicate ether or ester.
Part (c) was well answered by the majority of candidates (increased risk of stomach bleeding when alcohol is consumed with aspirin), and two-thirds of the candidates identified the functional groups correctly in part (d). A common mistake was using the term esther which was not clear whether it was meant to indicate ether or ester.
A number of drugs have been developed to treat excess acidity in the stomach.
Two drugs are ranitidine (Zantac) and omeprazole (Prilosec). Outline how they function to reduce stomach acidity.
0.500 g of solid anhydrous sodium carbonate, Na2CO3(s), is dissolved in 75.0 cm3 of 0.100 mol\(\,\)dm−3 sodium hydrogen carbonate solution, NaHCO3(aq). Assume the volume does not change when the salt dissolves.
HCO3−(aq) \( \rightleftharpoons \) CO32−(aq) + H+(aq) pKa = 10.35.
Calculate the pH of the buffer solution.
Markscheme
Ranitidine:
Blocks/binds H2-histamine receptors «in cells of stomach lining»
OR
prevents histamine molecules binding to H2-histamine receptors «and triggering acid secretion»
Omeprazole:
inhibits enzyme/gastric proton pump which secretes H+ ions «into gastric juice»
Accept “H2 receptor antagonist” for M1.
[2 marks]
[Na2CO3] = «\(\frac{{0.500{\text{ g}}}}{{105.99{\text{ g}}\,{\text{mo}}{{\text{l}}^{ - 1}} \times 0.075{\text{ d}}{{\text{m}}^3}}}\)=» 0.0629 «mol\(\,\)dm−3»
«pH = pKa + log\(\frac{{[{\text{conj base]}}}}{{[{\text{conj acid}}]}}\)»
«pH = 10.35 – 0.201 =» 10.15
Alternative method involving Ka may be used to deduce pH in M2.
Award [2] for correct final answer.
-2 marks]
Examiners report
Drug research and development is a lengthy and expensive process. Testing is required to determine the therapeutic window, tolerance and side-effects of a drug before it can be approved for use.
State the meaning of the term therapeutic window.
Suggest why a narrow therapeutic window may be a problem.
State the meaning of the term side-effects.
Markscheme
range of dosages/concentrations of drug (able to treat disease successfully) staying within safety limit / between effective/ED50 and toxic levels/LD50;
Do not accept definition of therapeutic index (ratio of LD50/TD50 to ED50).
Accept “lethal levels” for “toxic levels” even if laboratory animals are not referred to.
toxic levels are easily reached / effective dose not given for fear of reaching toxic level / close medical supervision required;
Accept “lethal levels” for “toxic levels”.
adverse effects of drug / physiological/psychological effect other than that for which the drug was prescribed / secondary (undesired) effects of drug / OWTTE;
Examiners report
Many candidates confused the definition of “therapeutic window” with “therapeutic index”. The nature of a narrow therapeutic window was also not well understood although the nature of side-effects was well articulated. The role of dimethicone as an anti-foaming agent was well understood overall. It was correctly identified as an anti-foaming agent where small bubbles are converted into larger ones and then released. This decreases "bloating" and increases rather than decreases "flatulence" which was seen quite often as a response in the use of dimethicone.
Many candidates confused the definition of “therapeutic window” with “therapeutic index”. The nature of a narrow therapeutic window was also not well understood although the nature of side-effects was well articulated. The role of dimethicone as an anti-foaming agent was well understood overall. It was correctly identified as an anti-foaming agent where small bubbles are converted into larger ones and then released. This decreases "bloating" and increases rather than decreases "flatulence" which was seen quite often as a response in the use of dimethicone.
Many candidates confused the definition of “therapeutic window” with “therapeutic index”. The nature of a narrow therapeutic window was also not well understood although the nature of side-effects was well articulated. The role of dimethicone as an anti-foaming agent was well understood overall. It was correctly identified as an anti-foaming agent where small bubbles are converted into larger ones and then released. This decreases "bloating" and increases rather than decreases "flatulence" which was seen quite often as a response in the use of dimethicone.
State the differences between the structures of morphine and diamorphine (heroin). State the names of all functional groups in the molecule of morphine.
Differences:
Functional groups:
Markscheme
Differences:
(two) hydroxy(l)/alcohol and phenol groups are esterified/replaced with ester/ethanoate/acet(yl)oxy groups / OWTTE;
Accept formulas instead of group names.
Functional groups:
hydroxy(l)/alcohol/phenol;
ether/oxa;
(tertiary) amine/amino;
double bond/alkene;
aromatic/benzene ring/phenyl/aryl;
Examiners report
Many candidates were able to identify the differences in the structures of morphine and diamorphine, but in the second part of the question quite a number of candidates gave the formula of the functional groups rather than their names, as required by the question.
The first commercially available antibiotic came from a class of compounds known as the penicillins.
Explain how penicillins work and why it is necessary to continually modify the side-chain.
Markscheme
penicillins interfere with (enzymes involved with) development of cell wall/(cross-link) structure of bacteria;
(due to damage) cells absorb water (by osmosis) and burst / OWTTE;
modifying side-chain overcomes resistance (by bacteria) / OWTTE;
Examiners report
In (b) the most common mistake seen was claims that penicillin breaks down cell walls. This is totally incorrect – penicillin does not break down existing cell walls – it only interferes with the production of new ones. Many candidates also did not mention the fact that due to damage cells absorb water and burst. Most knew that modification of the side-chain overcomes resistance by bacteria.
Diseases may be caused by bacteria or viruses.
Explain how penicillins work as antibacterials.
The R group in the general structure of penicillin shown below represents a side-chain which is regularly modified.

Explain why this modification is necessary.
Describe two ways in which antiviral drugs work.
Markscheme
prevent the formation of bacterial cell walls / interfere with chemicals/enzyme/transpeptidase needed by bacteria to form normal cell walls / inhibits cross-links developing in bacterial cell walls;
(osmosis) causes water to enter bacterial cell and cell bursts / cell wall weakens (making it more permeable to water) and bacterium bursts (and dies);
makes penicillin more effective / makes penicillin resistant to penicillinase (enzyme) / allows different methods of administration / penicillins can be made which are resistant to acid in the stomach;
change cell membrane to prevent viruses entering/attaching to cell;
alter cell’s genetic material so virus cannot use it to multiply;
inhibit enzymes involved in replication/reverse transcriptase / stop enzyme activity inside the cell (and prevent the viruses from multiplying);
prevent replicated virus leaving the cell;
initiates apoptosis/death of cells infected by viruses;
mimic guanosine/base-sugar monomer in DNA/RNA formation inhibiting enzymes involved in replication;
Examiners report
Many students were able to explain how penicillins work as antibacterial agents although sometimes the answers lacked clarity. The reason for the modification of the side-chain of penicillin was often linked to bacterial resistance but did not specifically address how it actually affects the action of penicillin. Candidates were often unclear on the different ways that anti-viral drugs can work and although they usually managed to achieve one of the two marks, many explanations lacked the precision in terms of their mode of action.
Many students were able to explain how penicillins work as antibacterial agents although sometimes the answers lacked clarity. The reason for the modification of the side-chain of penicillin was often linked to bacterial resistance but did not specifically address how it actually affects the action of penicillin. Candidates were often unclear on the different ways that anti-viral drugs can work and although they usually managed to achieve one of the two marks, many explanations lacked the precision in terms of their mode of action.
Many students were able to explain how penicillins work as antibacterial agents although sometimes the answers lacked clarity. The reason for the modification of the side-chain of penicillin was often linked to bacterial resistance but did not specifically address how it actually affects the action of penicillin. Candidates were often unclear on the different ways that anti-viral drugs can work and although they usually managed to achieve one of the two marks, many explanations lacked the precision in terms of their mode of action.
Discuss the term therapeutic window. Your answer should include its meaning, a quantitative description and an explanation of wide and narrow therapeutic windows.
Markscheme
measure of the relative margin of safety of a drug (for a particular treatment for a typical population) / measure for safe effective treatment;
\(\frac{{{\text{lethal dose (L}}{{\text{D}}_{{\text{50}}}}{\text{)}}}}{{{\text{therapeutic or effective dose (E}}{{\text{D}}_{{\text{50}}}}{\text{)}}}}\) /
ratio of the lethal dose \({\text{(L}}{{\text{D}}_{{\text{50}}}}{\text{)}}\) to the therapeutic or effective dose \({\text{(E}}{{\text{D}}_{{\text{50}}}}{\text{)}}\) / the range of dosage of a drug/its concentration in a bodily system/blood;
Definition of LD50 and ED50 not required for mark.
wide therapeutic window exists for small effective dose and larger lethal dose / toxicity occurs at much higher concentrations than for successful treatment / a big difference between effective and lethal dose / drugs with wide therapeutic window are safer;
narrow therapeutic window requires small doses as lethal dose is not large / OWTTE;
Examiners report
Most candidates gave the description of a therapeutic window, but it was clear that many candidates did not really understand what it means and some confused wide and narrow therapeutic window with wide and narrow spectrum antibiotics.
Drug testing is necessary to determine safe and effective doses.
Distinguish between the lethal dose (LD50) and the toxic dose (TD50).
Markscheme
LD50: amount/dose that kills 50% of the population
TD50: amount/dose that negatively affects/produces toxic effects in 50% of the population
Award [1 max] for “LD50 used in animal trials AND TD50 used in human studies”.
[2 marks]
Examiners report
Penicillin is an antibiotic which contains a beta-lactam ring. Its general structure is shown below.
(i) Outline what is meant by the term “ring strain”.
(ii) On the diagram above, label with asterisk/s (*) the carbon atom/s that experience ring strain.
(i) Some antibiotic-resistant bacteria produce a beta-lactamase enzyme which destroys penicillin activity. Suggest how adding clavulanic acid to penicillin enables the antibiotic to retain its activity.
(ii) Populations of antibiotic-resistant bacteria have increased significantly over the last 60 years. Outline why antibiotics such as penicillin should not be prescribed to people suffering from a viral infection.
Markscheme
i
bond angles smaller/distorted
OR
instability resulting from abnormal bond angles
OR
bond angles «approximately» 90° instead of 109.5°/120°
Accept “109/110°” for “109.5°”
ii
asterisks (*) on all 3 lactam ring carbon atoms
Must mark all 3 carbon atoms.
Ignore asterisks on the RHS carbon atoms of the five-membered ring.
i
beta-lactam/four-membered ring «in clavulanic acid» reacts with enzyme/beta lactamase
Accept “acts as enzyme inhibitor/suicide substrate/preferentially binds to enzyme”.
ii
antibiotics not effective against viruses
OR
viruses have no cell wall/cell structure/target structures to attack
increasing exposure of bacteria «to antibiotic» increases resistance
Accept “antibiotics kill beneficial bacteria” for M2.
Examiners report
Morphine and diamorphine (heroin) are both opioids.
Explain why diamorphine is more potent than morphine using section 37 of the data booklet.
Markscheme
morphine has hydroxyl/OH groups/is more polar AND diamorphine has ester/ethanoate/acetate groups/is less polar/is lipid soluble
crossing blood brain barrier is easier for non-polar/less polar compounds/for lipid soluble compounds
Accept “alcohol/hydroxy” for “hydroxyl” but not “hydroxide”.
Accept "fats" for "lipid".
[2 marks]
Examiners report
The properties of four analgesics are summarized below.

Deduce which drugs could be morphine, aspirin and codeine.
Morphine:
Aspirin:
Codeine:
Compare the structures of diamorphine (heroin) and morphine. Their structures are given in table 20 of the data booklet.
Two similarities:
One difference:
Markscheme
Morphine: D;
Aspirin: A;
Codeine: C;
Award [2] for all three correct, [1] for two correct.
Similarities:
Award [1 max] for any two:
benzene ring/aromatic ring/−C6H2;
Accept “phenyl” or “arene” but not C6H5- or benzene/C6H6.
(tertiary) amino/−NRR'/NRR'R'';
Accept “(tertiary) amine”.
carbon−carbon double bond/C=C;
Accept “alkene” or “alkenyl”.
ether/C−O−C;
Accept “both have the same ring structure / OWTTE”.
Difference:
ester/CH3COO in diamorphine/heroin and hydroxyl/OH in morphine;
Accept “ethanoate” for ester.
Accept “alcohol” or “hydroxy” for hydroxyl but not hydroxide.
Examiners report
Most candidates matched the analgesics to the properties successfully.
Most candidates identified two similarities and one difference between diamorphine and morphine. For the difference, it was necessary to mention both the hydroxyl groups in morphine and the ester groups in diamorphine.
Aspirin is one of the most widely used drugs in the world.
Aspirin was synthesized from 2.65 g of salicylic acid (2-hydroxybenzoic acid) (Mr = 138.13) and 2.51 g of ethanoic anhydride (Mr = 102.10).
Calculate the amounts, in mol, of each reactant.
Calculate, in g, the theoretical yield of aspirin.
State two techniques which could be used to confirm the identity of aspirin.
State how aspirin can be converted to water-soluble aspirin.
Compare, giving a reason, the bioavailability of soluble aspirin with aspirin.
Markscheme
n(salicylic acid) = «\(\frac{{2.65{\text{ g}}}}{{138.13{\text{ g}}\,{\text{mo}}{{\text{l}}^{ - 1}}}}\)» 0.0192 «mol»
AND
n(ethanoic anhydride) = «\(\frac{{2.51{\text{ g}}}}{{102.10{\text{ g}}\,{\text{mo}}{{\text{l}}^{ - 1}}}}\)» 0.0246 «mol»
[1 mark]
«mass = 0.0192 mol x 180.17 g\(\,\)mol–1 =» 3.46 «g»
Award ECF mark only if limiting reagent determined in (i) has been used.
[1 mark]
Any two of:
melting point
mass spectrometry/MS
high-performance liquid chromatography/HPLC
NMR/nuclear magnetic resonance
X-ray crystallography
elemental analysis «for elemental percent composition»
Accept “spectroscopy” instead of “spectrometry” where mentioned but not “spectrum”.
Accept “infra-red spectroscopy/IR” OR “ultraviolet «-visible» spectroscopy/UV/UV-Vis”.
Do not accept “gas chromatography/GC”.
Accept “thin-layer chromatography/TLC” as an alternative to “HPLC”.
[2 marks]
react with NaOH
Accept “NaHCO3” or “Na2CO3” instead of “NaOH”.
Accept chemical equation OR name for reagent used.
[1 mark]
«marginally» higher AND increase rate of dispersion
OR
«marginally» higher AND increase absorption in mouth/stomach «mucosa»
OR
«approximately the» same AND ionic salt reacts with HCl/acid in stomach to produce aspirin again
Do not accept “«marginally» higher AND greater solubility in blood”.
[1 mark]
Examiners report
The mild analgesic aspirin can be prepared in the laboratory from salicylic acid.
(CH3CO)2O + HOC6H4COOH → CH3CO2C6H4COOH + CH3COOH
Salicylic acid Aspirin
After the reaction is complete, the product is isolated, recrystallized, tested for purity and the experimental yield is measured. A student’s results in a single trial are as follows.
Literature melting point data: aspirin = 138–140 °C
Determine the percentage experimental yield of the product after recrystallization. The molar masses are as follows: M(salicylic acid) = 138.13 g mol−1, M(aspirin) = 180.17 g mol−1. (You do not need to process the uncertainties in the calculation.)
Suggest why isolation of the crude product involved the addition of ice-cold water.
Justify the conclusion that recrystallization increased the purity of the product, by reference to two differences between the melting point data of the crude and recrystallized products.
State why aspirin is described as a mild analgesic with reference to its site of action.
Markscheme
ALTERNATIVE 1:
«theoretical yield = \(\frac{{1.552\,{\text{g}}}}{{138.13\,{\text{g}}\,{\text{mo}}{{\text{l}}^{ - 1}}}}\) × 180.17 g mol−1 =» 2.024 «g»
«experimental yield = \(\frac{{1.124{\rm{g}}}}{{2.024{\rm{g}}}}\) × 100 =» 55.53 «%»
ALTERNATIVE 2:
«\(\frac{{1.552\,{\text{g}}}}{{138.13\,{\text{g}}\,{\text{mo}}{{\text{l}}^{ - 1}}}}\)»= 0.01124 «mol salicylic acid/aspirin theoretical» AND
«\(\frac{{1.124\,{\text{g}}}}{{180.17\,{\text{g}}\,{\text{mo}}{{\text{l}}^{ - 1}}}}\)»= 0.006239 «mol aspirin experimental»
«experimental yield = \(\frac{{0.006239{\rm{mol}}}}{{0.01124{\rm{mol}}}}\) x 100 =» 55.51 «%»
Accept answers in the range 55.4 % to 55.7 %.
Award [2] for correct final answer.
low temperature gives greater difference between solubility of aspirin and impurities
OR
«product» crystallizes out from cold solution/«ice-cold water/lower temperature» speeds up crystallization process
OR
aspirin/product has low solubility «in water» at low temperatures
intercepts pain stimulus at source/acts at site of pain
OR
interferes with production of pain sensitizing substances/prostaglandins «at site of pain»
Examiners report
recrystallized melting point is higher
OR
recrystallized melting point is closer to pure substance/literature value
smaller range of values
Methadone, a synthetic opioid, binds to opioid receptors in the brain.
Compare and contrast the functional groups present in methadone and diamorphine (heroin), giving their names. Use section 37 of the data booklet.
Methadone is sometimes used to help reduce withdrawal symptoms in the treatment of heroin addiction. Outline one withdrawal symptom that an addict may experience.
Markscheme
Similarity:
both contain «at least one» benzene/aromatic ring
OR
both contain amino «group»
Difference:
diamorphine has one benzene/aromatic ring AND methadone has two phenyl «groups»
OR
diamorphine has one vinylene/ethenylene/1,2-ethenediyl «group» AND methadone has no vinylene/ethenylene/1,2-ethenediyl «group»
OR
diamorphine has one ether «group» AND methadone has no ether «group»
OR
diamorphine has «two» ethanoate/acetate «groups» AND methadone has no ethanoate/acetate «groups»
Accept “both contain carbonyl «groups»”.
Accept “amine” for “amino «group»”.
Accept “phenyl” for “benzene ring” in M1 and M2 although there are no phenyl groups in diamorphine, as the benzene ring in this compound is a part of a polycyclic structure.
Do not accept “arene” or “benzene” alone in M1 and M2.
Accept “alkenyl/alkene” for “vinylene/ethenylene/1,2-ethenediyl” and “ester” for “ethanoate/acetate”.
Accept “methadone has a ketone/carbonyl AND diamorphine does not/has an ester/ethanoate/acetate”.
Accept “diamorphine is a heterocycle/heterocyclic compound AND methadone is not a heterocycle/heterocyclic compound”.
feeling depressed/anxious/irritable
OR
craving for opioids/heroin
OR
experience fever/cold sweats/nausea/vomiting/insomnia/muscle pain/cramps/diarrhea/increased rate of respiration/increased heartbeat/lacrimation
Accept listed symptoms (eg, depression, anxiety, fever etc.).
Some of the most common symptoms are listed here – there may be other valid ones. Accept “headaches”.
Examiners report
Many drugs, including aspirin, penicillin, codeine and taxol, have been modified from compounds that occur naturally.
Aspirin is often taken to reduce pain, swelling or fever. State one other use of aspirin.
State what is meant by the bioavailability of a drug.
Outline how the bioavailability of aspirin may be increased.
Compare and contrast the IR spectrum of aspirin with that of salicylic acid, using section 26 of the data booklet.
Describe how penicillin combats bacterial infections.
Outline two consequences of prescribing antibiotics such as penicillin unnecessarily.
State how penicillins may be modified to increase their effectiveness.
Morphine and codeine are strong analgesics. Outline how strong analgesics function.
Suggest one reason why codeine is more widely used than morphine as an analgesic.
Markscheme
Any one of:
anticoagulant
lower risk of heart attack/strokes
prevent recurrence of heart attack/stroke
prevents cancer of colon/oesophagus/stomach
Accept “prevents/reduces blood clots” OR “blood thinner”.
[1 mark]
fraction/proportion/percentage «of administered dosage» that reaches target «part of human body»
OR
fraction/ proportion/percentage «of administered dosage» that reaches blood «plasma»/systemic circulation
Accept “the ability of the drug to be absorbed by the body” OR “the extent to which the drug is absorbed by the body”.
Do not accept “the amount/quantity of the drug absorbed”.
[1 mark]
«intravenous» injection/IV
Accept “parenterally”.
Accept “react with alkali/NaOH” OR “convert to ionic form/salt”.
[1 mark]
One absorption found in both spectra:
Any one of:
1050–1410 cm–1 «C–O in alcohols, esters, ethers»
1700–1750 cm–1 «C=O in carboxylic acids, esters»
2500–3000 cm–1 «O–H in carboxylic acids»
2850–3090 cm–1 «C–H in alkanes, alkenes, arenes»
One absorption found in only one of the spectra:
3200–3600 cm–1 «O–H in alcohols, phenols»
Award [1 max] if candidate states bonds (C=O in both, O–H in salicylic acid only) but doesn’t quote wavelength ranges.
Accept a second/additional absorption at 1700–1750 cm–1 from the C=O in ester.
[2 marks]
Any two of:
ring is «sterically» strained
OR
ring breaks up/opens/reacts «easily»
OR
amide/amido group «in ring» is «highly» reactive
«irreversibly» binds/bonds to enzyme/transpeptidase
OR
inhibits enzyme/transpeptidase «in bacteria» that produces cell walls
OR
prevents cross-linking of bacterial cell walls
cells absorb water AND burst
OR
cells cannot reproduce
Award [1 max] for “interferes with cell wall production”.
Do not accept “cell membrane” instead of “cell wall”.
[2 marks]
Any two of:
leads to «bacterial» resistance/proportion of resistant bacteria increases
OR
leads to penicillinase-producing bacteria
damage to/contamination of bodies of water/ecosystems
destroys useful/beneficial bacteria
destroyed bacteria replaced by more harmful bacteria
Accept “endocrine disruptor”.
Do not accept “increased cost of developing antibiotics”.
[2 marks]
modify side chain
[1 mark]
temporarily bind to/block/interfere with receptor sites in brain
OR
prevent transmission of pain impulses within CNS/central nervous system
[1 mark]
codeine has a wider therapeutic window
Accept “codeine has lower activity” OR “codeine has lower risk of overdose” OR “codeine is less potent” OR “codeine has less side-effects”.
Do not accept “lower abuse potential for codeine” OR “less addictive «than morphine»” OR “codeine has a lower bioavailability” OR “available without prescription” OR “cheaper”.
[1 mark]
Examiners report
Opiates have been used for thousands of years to alleviate pain. The structures of opiates are found in section 37 of the data booklet.
Diamorphine (heroin) can be synthesized from morphine. Identify the reagent necessary for this reaction and the by-product of this reaction.
The reaction can be monitored by infrared spectroscopy. Using section 26 of the data booklet, identify two IR absorbance ranges that would help distinguishing the two compounds.
Present in morphine but not in diamorphine:
Present in diamorphine but not in morphine:
Discuss how the differences in structure between morphine and diamorphine affect their absorption in the body.
Markscheme
Accept names or structural formulas for reagent and by-product.
Accept IUPAC or alternative names of compounds e.g. acetic acid.
Award M2 only if the by-product corresponds to the reagent.
Present in morphine but not in diamorphine:
«has OH and absorbance at» 3200–3600 «cm–1»
Present in diamorphine but not in morphine:
«has C=O and absorbance at» 1700–1750 «cm–1»
morphine has «two» hydroxyl «groups» AND diamorphine/heroin has «two»
ester/ethanoate/acetate «groups»
morphine is more polar than diamorphine/heroin
diamorphine/heroin crosses the blood-brain barrier «easily»
morphine is <more> soluble in blood «plasma»
OR
diamorphine/heroin is «more» soluble in lipids
Accept converse argument throughout. Accept “alcohol/hydroxy” for “hydroxyl” but not “hydroxide”.
Do not accept “diamorphine/heroin is non-polar” for M2.
Examiners report
Solubility plays an important role in the bioavailability of drugs in the body.
Suggest why aspirin is slightly soluble in water. Refer to section 37 of the data booklet.
Formulate an equation for the conversion of aspirin to a more water soluble derivative.
A student prepares aspirin from salicylic acid in the laboratory, extracts it from the reaction mixture, ensures the sample is dry and determines its melting point.
Suggest why the melting point of the student’s sample is lower and not sharp compared to that of pure aspirin.
Organic molecules can be characterized using infrared (IR) spectroscopy.
Compare and contrast the infrared peaks above 1500 cm−1 in pure samples of aspirin and salicylic acid using section 26 of the data booklet.
The pharmaceutical industry is one of the largest producers of waste solvents.
State a green solution to the problem of organic solvent waste.
Markscheme
presence of «large» benzene/arene ring AND non-polar/hydrophobic
OR
presence of «large» benzene/arene ring AND cannot form H-bond with water
contain COOH/carboxyl/–OH/hydroxyl «and ester group» AND polar/hydrophilic
OR
contain COOH/carboxyl/–OH/hydroxyl «and ester group» AND can form H-bonds with water
Accept “phenyl” for “benzene ring”.
Accept "carboxylic acid" for "carboxyl".
Do not accept "alcohol" for "hydroxyl".
[2 marks]
OR
C6H4(OCOCH3)COOH + NaOH → C6H4(OCOCH3)COONa + H2O
Charges (O– and Na+) not necessary to score the mark.
Accept net ionic equation.
Accept any strong base in place of NaOH.
[1 mark]
«student’s» sample impure
lattice disrupted/not uniform «due to presence of impurities»
OR
fewer interparticle/intermolecular forces «due to presence of impurities»
Accept converse arguments.
[2 marks]
One similarity:
peak at 2500–3000 «cm–1»/peak due to O–H/hydroxyl in carboxylic acids
OR
peak at 1700–1750 «cm–1»/peak due to C=O/carbonyl
OR
peak at 2850–3090 «cm–1»/peak due to C–H of arene
One difference:
peak at 3200–3600 «cm–1» in salicylic acid/ peak due to O–H in phenol in salicylic acid
OR
«two» peaks at 1700–1750 «cm–1» in aspirin AND one peak «in the same area» in salicylic acid
Accept “peak at 1600 cm–1 for arene/benzene ring” – not in the data booklet.
Accept “2500–3600 cm–1 «overlapping absorptions of two O–H» in salicylic acid”.
Accept “stronger/broader/split peak at 1700–1750 cm–1 in aspirin”.
[2 marks]
«use of» alternative solvents such as supercritical/liquid CO2
OR
use of water «as solvent»
OR
solvent-free reactions «for example, polymerization of propene»
OR
solid-state chemistry
OR
recycle «waste» solvents
OR
catalysis that leads to better/higher yield
OR
reducing number of steps
Do not accept political/regulatory solutions.
“catalysis” not sufficient for mark.
[1 mark]
Examiners report
Radioactive isotopes are used in a variety of medical procedures including medical imaging and radiotherapy.
Identify examples of two types of medical radioactive waste and how each must be treated for proper disposal.
Outline an ethical implication of using nuclear treatments in medicine.
Markscheme
Award [1] for example AND corresponding treatment.
Award [1 max] for the two examples.
risk vs benefit «patient and environment»
OR
providing adequate information to patients about risks
OR
security concerns if nuclear radioactive material ended up with terrorists
OR
cultural resistance/superstition/lack of education
OR
«potential» exposure of health workers «to radioactivity»
OR
proper training «in radioactive hazards» not always given to workers
OR
proper disposal of radioactive materials
Accept other valid ethical implications (note that risk of cancer to the patient is not an ethical issue, while risk of cancer to the health worker is).
Do not accept “security concerns” alone – there must be some reference to an ethical implication.